Free Access

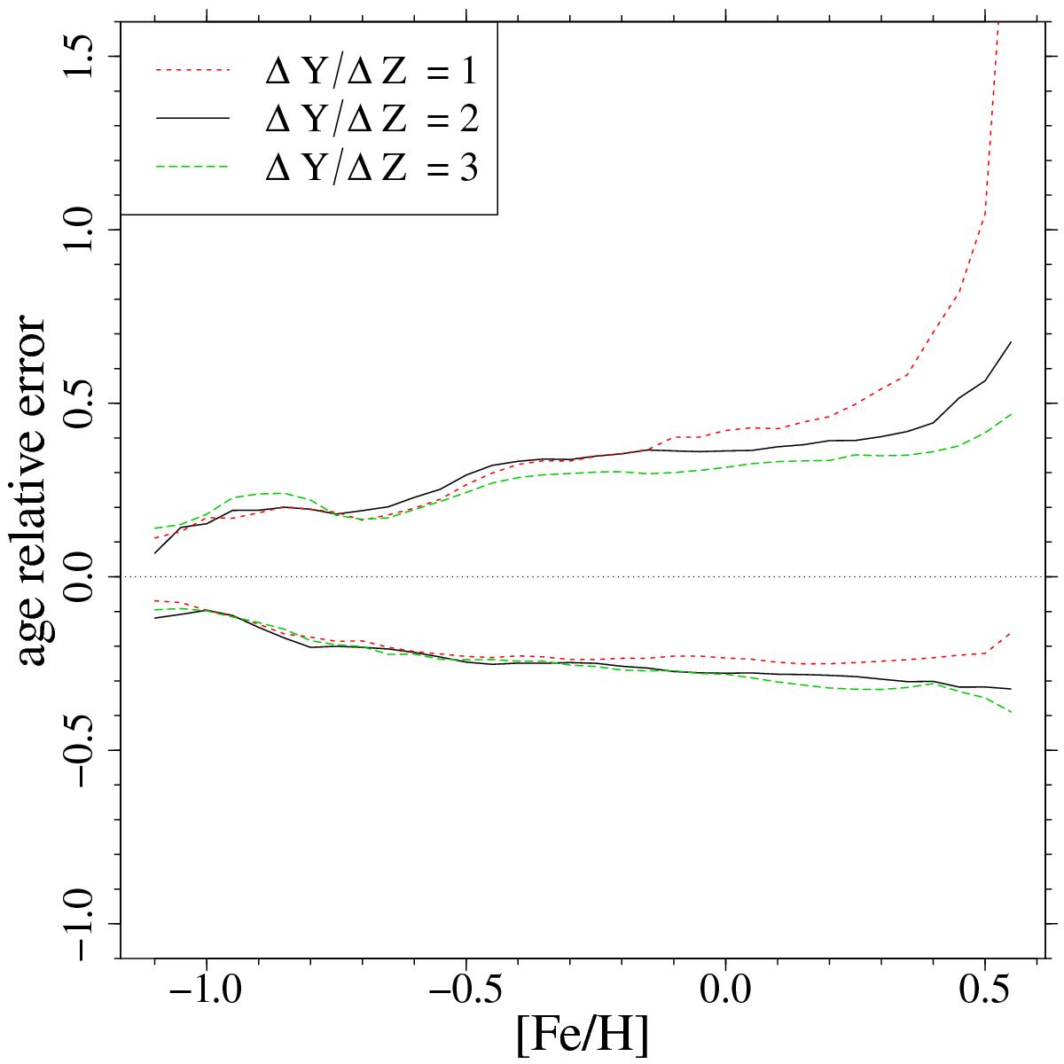
Fig. 8

image

Dependence on the surface metallicity [Fe/H] of the envelopes of age estimate relative errors. The sampling occurs from synthetic grids with different values of ΔYZ, while ages are estimated on the standard grid with ΔYZ = 2.

Current usage metrics show cumulative count of Article Views (full-text article views including HTML views, PDF and ePub downloads, according to the available data) and Abstracts Views on Vision4Press platform.

Data correspond to usage on the plateform after 2015. The current usage metrics is available 48-96 hours after online publication and is updated daily on week days.

Initial download of the metrics may take a while.