Free Access

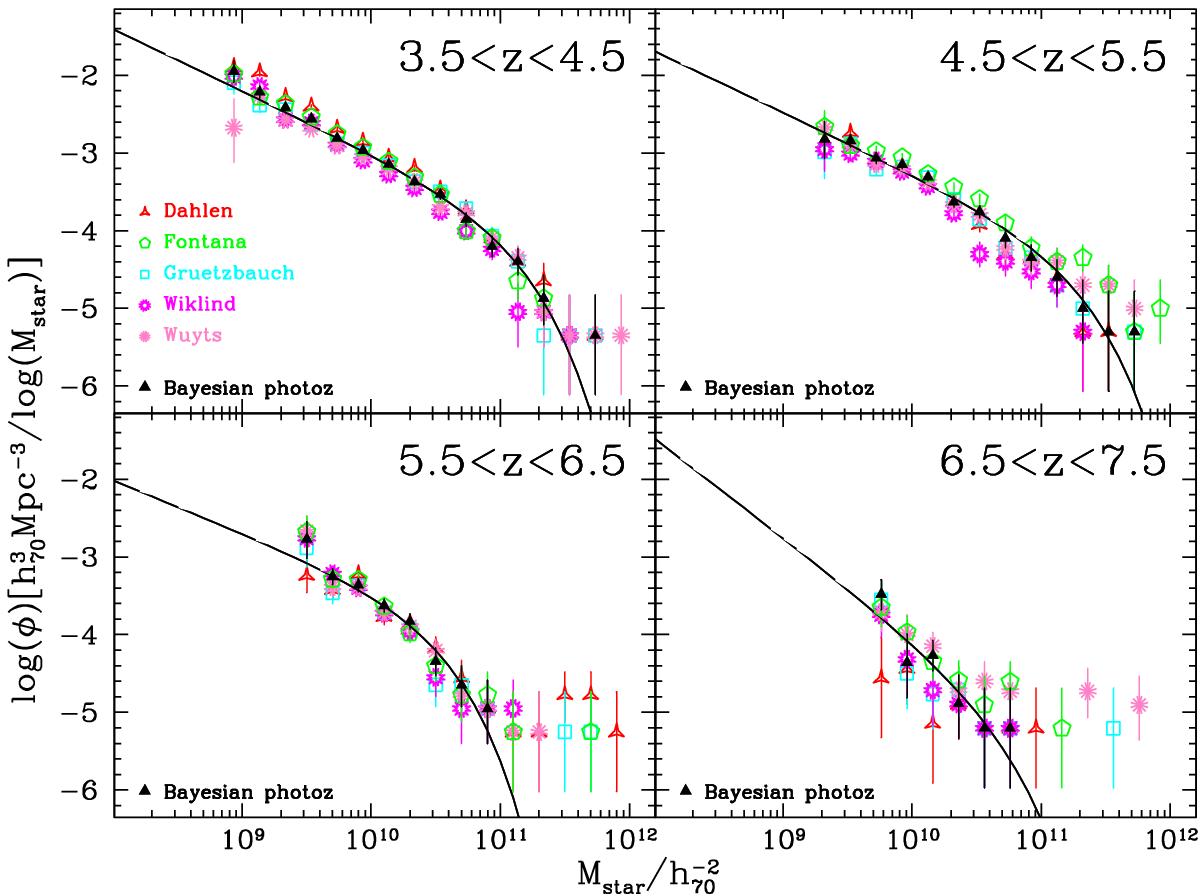
Fig. A.1

image

Comparison of the GSMF obtained with different photometric redshift recipes. The stellar mass function of galaxies at 3.5 ≤ z ≤ 7.5 in the CANDELS GOODS-South and UDS fields with the Bayesian photometric redshifts is shown by the black triangles and the solid continuous curves. The red triangles, green circles, cyan triangles, magenta and pink asterisks show the GSMFs obtained using the individual photometric redshifts of five different groups that have been used to derive the Bayesian photo-z described in Dahlen el al. (2013).

Current usage metrics show cumulative count of Article Views (full-text article views including HTML views, PDF and ePub downloads, according to the available data) and Abstracts Views on Vision4Press platform.

Data correspond to usage on the plateform after 2015. The current usage metrics is available 48-96 hours after online publication and is updated daily on week days.

Initial download of the metrics may take a while.