Free Access

Fig. A.3

image

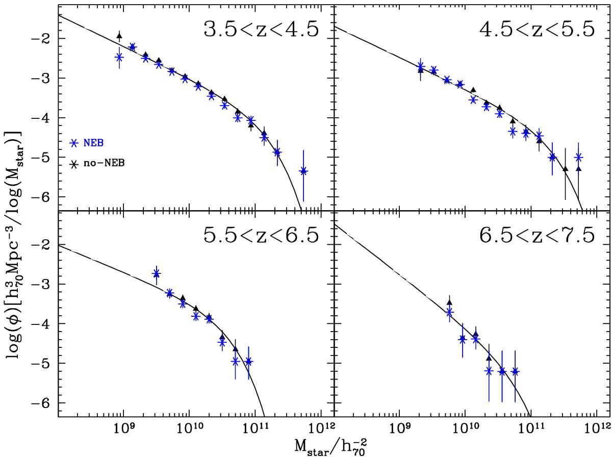
Comparison of the GSMF with and without an allowed nebular contribution. The stellar mass function of galaxies at 3.5 ≤ z ≤ 7.5 in the CANDELS GOODS-South and UDS fields with our standard BC03 fit (exponentially declining SFHs and no nebular contribution) is shown by the black triangles and the solid continuous curves. The blue asterisks show the GSMF derived using BC03 models and exponentially declining SFHs, but this time including the contribution of nebular lines and nebular continuum.

Current usage metrics show cumulative count of Article Views (full-text article views including HTML views, PDF and ePub downloads, according to the available data) and Abstracts Views on Vision4Press platform.

Data correspond to usage on the plateform after 2015. The current usage metrics is available 48-96 hours after online publication and is updated daily on week days.

Initial download of the metrics may take a while.