Free Access

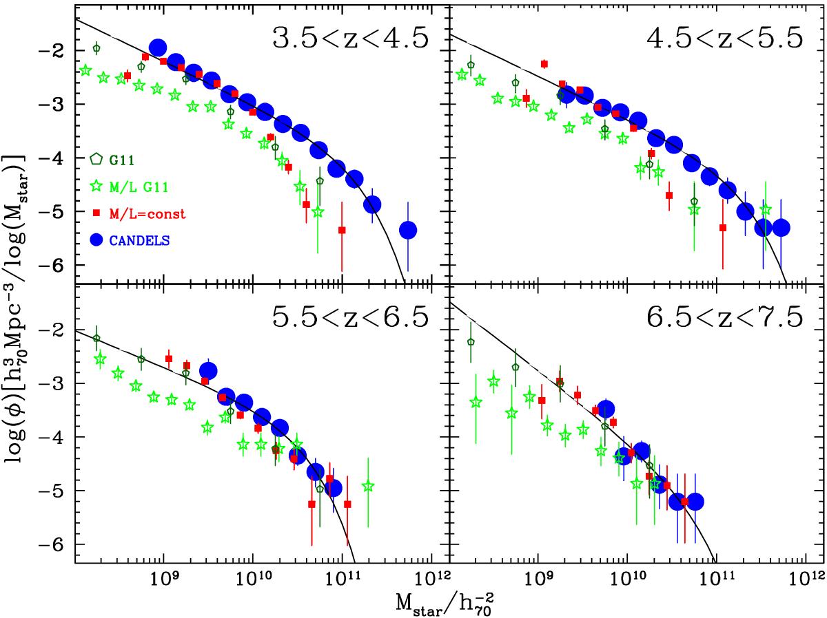
Fig. 8

image

Comparison between the mass function derived by assuming a constant mass-to-light ratio (red squares), relation between mass and L1400 light derived by González et al. (2011; green stars), and the one derived in this work for the GOODS-South and UDS fields (blue circles). The error bars show only the Poissonian uncertainties of each point. The original GSMF presented González et al. (2011) is shown by dark-green symbols.

Current usage metrics show cumulative count of Article Views (full-text article views including HTML views, PDF and ePub downloads, according to the available data) and Abstracts Views on Vision4Press platform.

Data correspond to usage on the plateform after 2015. The current usage metrics is available 48-96 hours after online publication and is updated daily on week days.

Initial download of the metrics may take a while.