Free Access

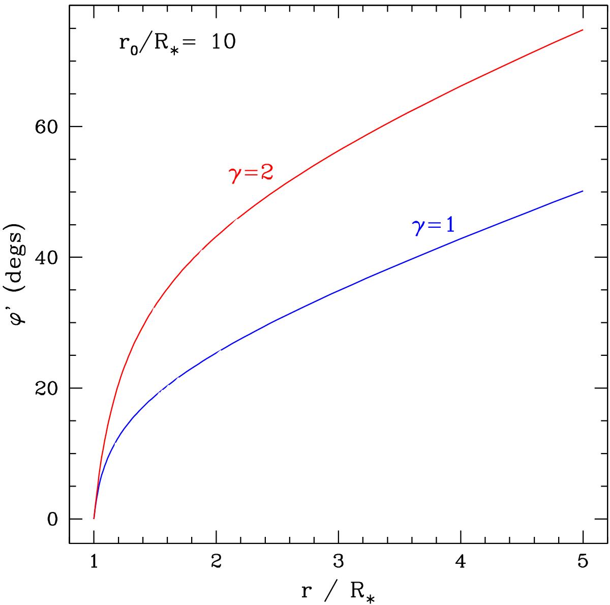
Fig. A.1

image

Comparison of the azimuth location of the CIR centroid with radius from the star. Here blue is for γ = 1, and red is for γ = 2. This example uses a wind radius of r0 = 10R. The value of φ is generally between 50% to 100% larger for γ = 2 than for γ = 1 indicating that a spiral CIR is considerably more curved at a given radius for the higher γ case.

Current usage metrics show cumulative count of Article Views (full-text article views including HTML views, PDF and ePub downloads, according to the available data) and Abstracts Views on Vision4Press platform.

Data correspond to usage on the plateform after 2015. The current usage metrics is available 48-96 hours after online publication and is updated daily on week days.

Initial download of the metrics may take a while.