Free Access

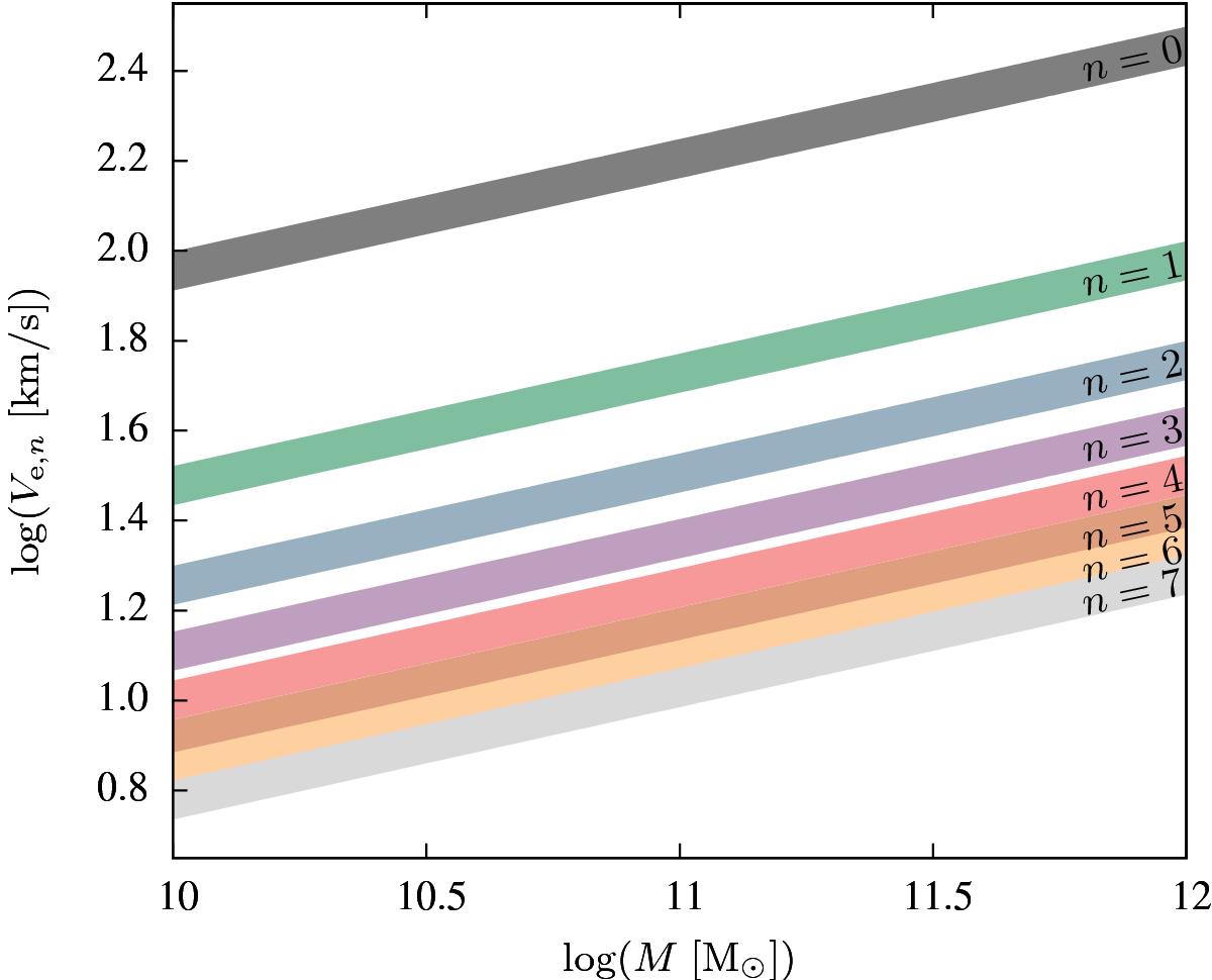
Fig. 3

image

MOND prediction of the relation between shell expansion velocities and their host-galaxy baryonic masses – a multibranched analogy of the baryonic Tully-Fisher relation. Each branch corresponds to a certain shell serial number n. The thickness of the drawn branches corresponds to the deviation of ±10% from the values given by Eq. (10).

Current usage metrics show cumulative count of Article Views (full-text article views including HTML views, PDF and ePub downloads, according to the available data) and Abstracts Views on Vision4Press platform.

Data correspond to usage on the plateform after 2015. The current usage metrics is available 48-96 hours after online publication and is updated daily on week days.

Initial download of the metrics may take a while.