Free Access

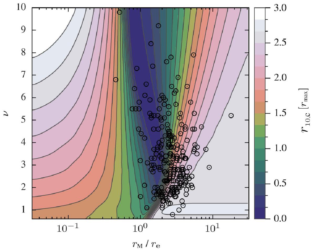
Fig. 4

image

Radius r10,c expressed in units of rmax as a function of the galaxy mass, effective radius re, and Sérsic index ν (the function z10,c(θ,ν) in Eq. (20)). Above this radius, circular velocity differs by less than 10% from its asymptotic value. The MOND transitional radius rM is connected to the mass of the galaxy by Eq. (19). The radius rmax is defined as the maximum of re and rM. The ratio rM/re can be determined observationally from Eq. (22). The circles denote the galaxies from the ATLAS3Dsample of local elliptical and lenticular galaxies.

Current usage metrics show cumulative count of Article Views (full-text article views including HTML views, PDF and ePub downloads, according to the available data) and Abstracts Views on Vision4Press platform.

Data correspond to usage on the plateform after 2015. The current usage metrics is available 48-96 hours after online publication and is updated daily on week days.

Initial download of the metrics may take a while.