Free Access

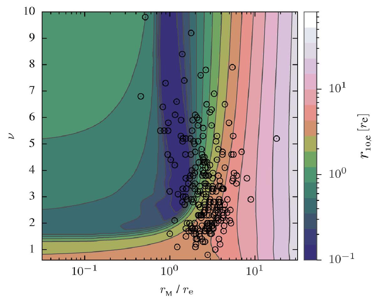
Fig. 7

image

Radius r10,e in the units of the effective radius re (the function y10,e(θ,ν) in Eq. (17)). Similar to Fig. 6. Measuring the circular velocity above r10,e ensures that we are able to verify the mass vs. shell expansion velocity relation observationally without introducing systematic errors that are too large.

Current usage metrics show cumulative count of Article Views (full-text article views including HTML views, PDF and ePub downloads, according to the available data) and Abstracts Views on Vision4Press platform.

Data correspond to usage on the plateform after 2015. The current usage metrics is available 48-96 hours after online publication and is updated daily on week days.

Initial download of the metrics may take a while.