Free Access

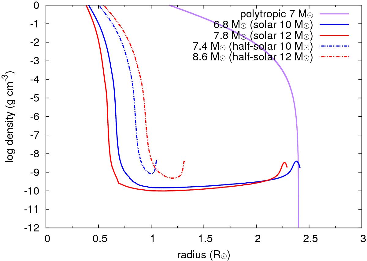
Fig. 2

image

Final density structure of our stellar models. We also show the structure of a star without the envelope inflation, which is a polytiropic star of 7 M and 2.4 R with the polytropic index of 3. The inflated stellar models have the extended low-density regions on top of the core structure.

Current usage metrics show cumulative count of Article Views (full-text article views including HTML views, PDF and ePub downloads, according to the available data) and Abstracts Views on Vision4Press platform.

Data correspond to usage on the plateform after 2015. The current usage metrics is available 48-96 hours after online publication and is updated daily on week days.

Initial download of the metrics may take a while.