Free Access

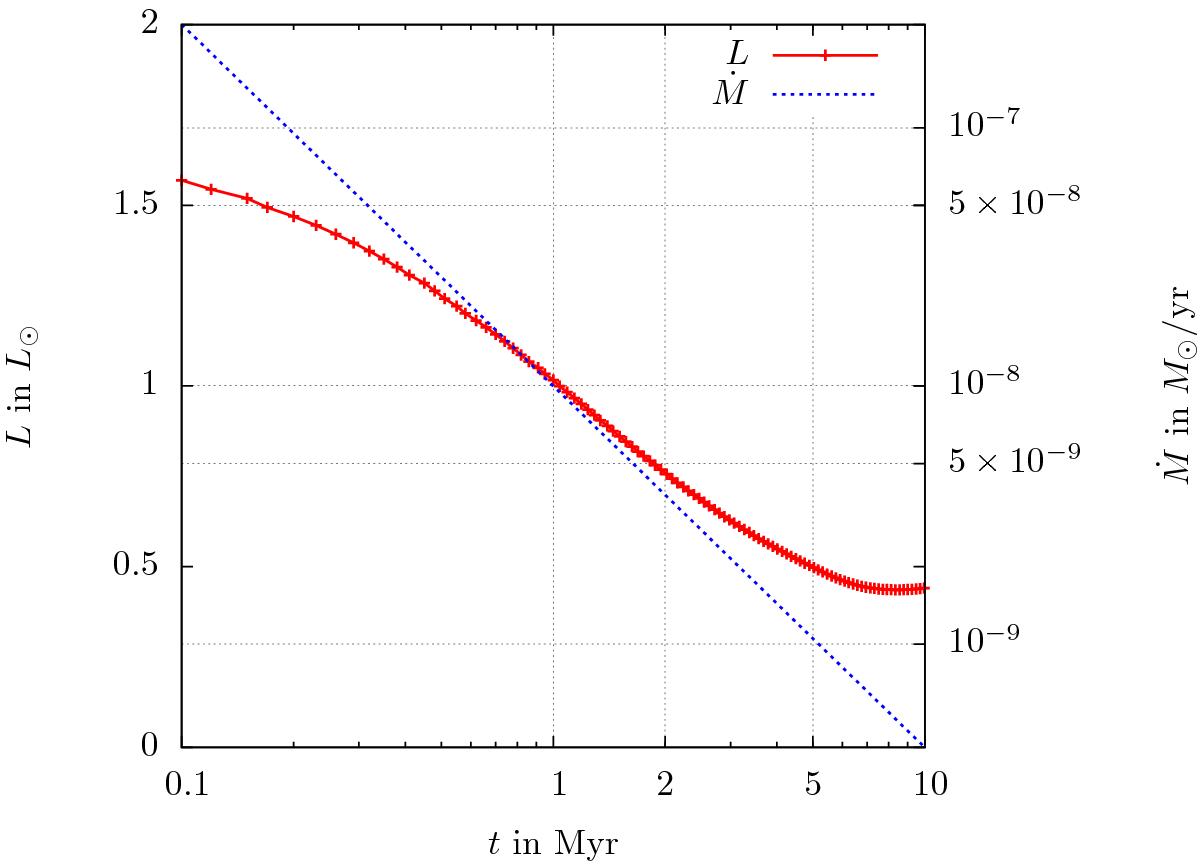
Fig. 1

image

Time evolution of the stellar luminosity after Baraffe et al. (1998) and the evolution of after Hartmann et al. (1998). The luminosity of the star reduces by a factor of 3 in 10 Myr and the accretion rate reduces by over 2 orders of magnitude during the same time period. However, an accretion rate of = 1 × 10-9 M/yr is already reached after 5 Myr when the disc can be cleared by photo evaporation.

Current usage metrics show cumulative count of Article Views (full-text article views including HTML views, PDF and ePub downloads, according to the available data) and Abstracts Views on Vision4Press platform.

Data correspond to usage on the plateform after 2015. The current usage metrics is available 48-96 hours after online publication and is updated daily on week days.

Initial download of the metrics may take a while.