Free Access

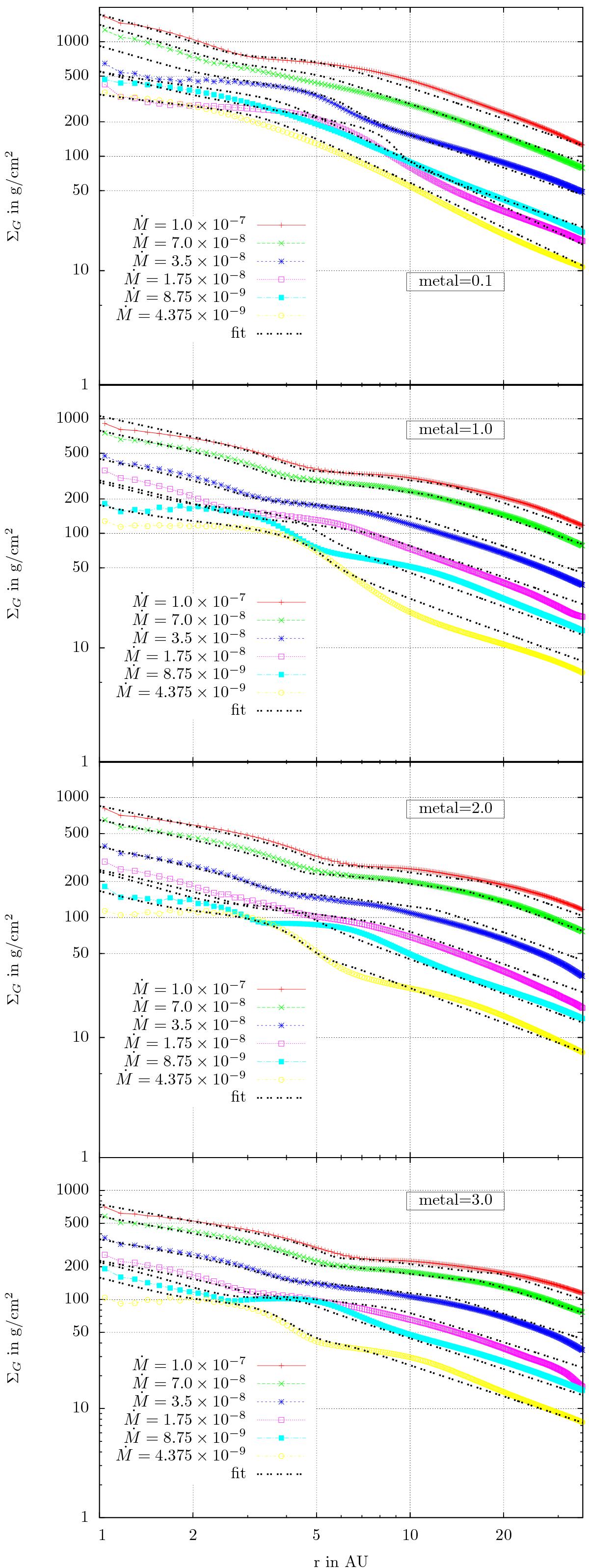
Fig. A.3

image

Surface density ΣG for discs with various and metallicity. The metallicity is 0.1% in the top panel, 1.0% in the second from top panel, 2.0% in the third from top panel, and 3.0% in the bottom panel. An increasing metallicity reduces the cooling rate of the disc, making the disc hotter, increasing the viscosity, and therefore decreasing ΣG compared to discs with lower metallicity. The black lines in the plots indicate the fits presented in Appendix A.

Current usage metrics show cumulative count of Article Views (full-text article views including HTML views, PDF and ePub downloads, according to the available data) and Abstracts Views on Vision4Press platform.

Data correspond to usage on the plateform after 2015. The current usage metrics is available 48-96 hours after online publication and is updated daily on week days.

Initial download of the metrics may take a while.