Free Access

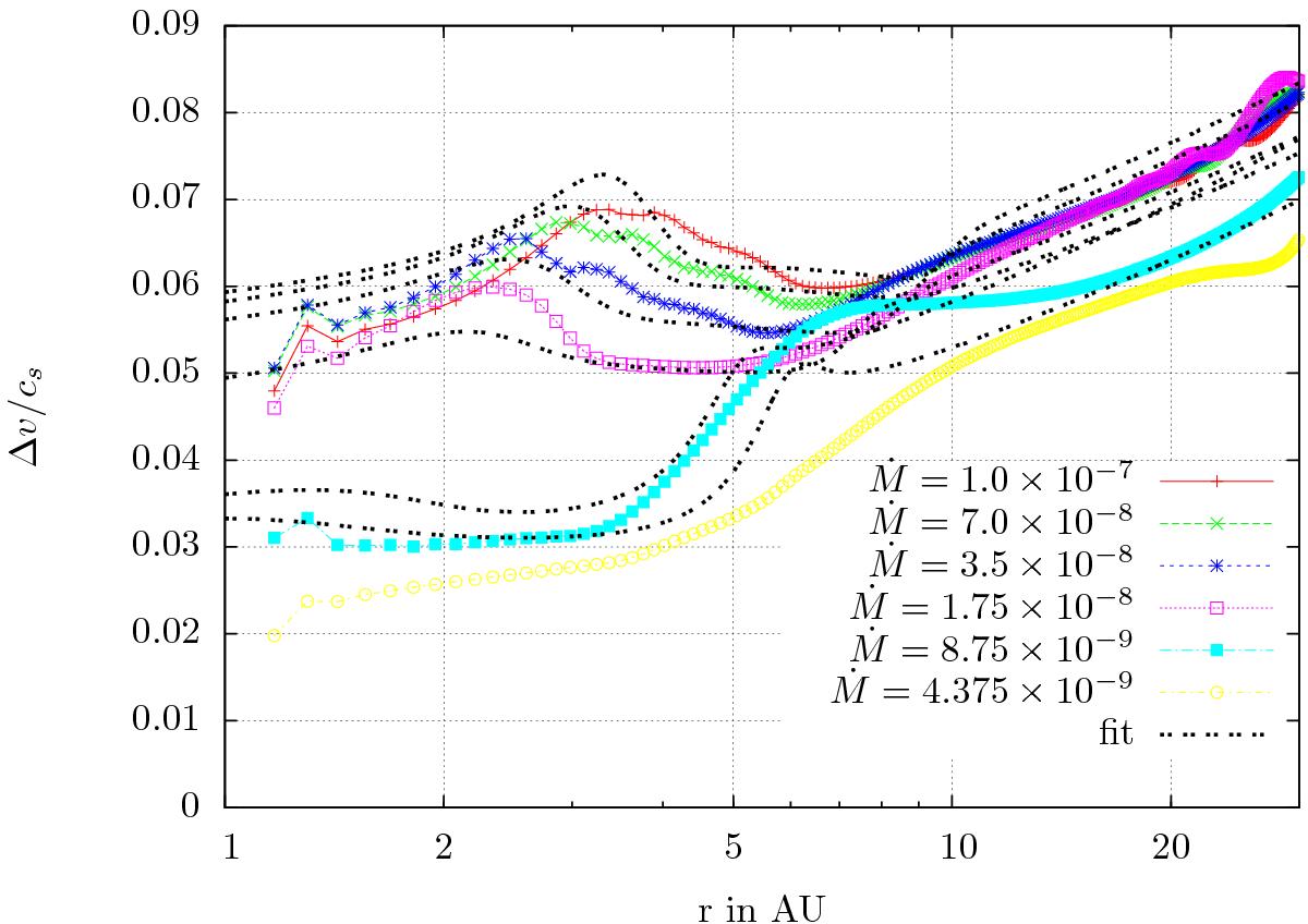
Fig. 6

image

Δ parameter for the disc simulations with evolving . The black lines mark the fits discussed in Appendix A. The Δ parameter describes the triggering of particle concentrations in the streaming instability, which can lead to planetesimal formation. In the regions of lower Δ at 5 AU, the formation of planetesimals is more likely, compared to the inner regions of the disc (2 AU) where Δ is higher.

Current usage metrics show cumulative count of Article Views (full-text article views including HTML views, PDF and ePub downloads, according to the available data) and Abstracts Views on Vision4Press platform.

Data correspond to usage on the plateform after 2015. The current usage metrics is available 48-96 hours after online publication and is updated daily on week days.

Initial download of the metrics may take a while.