Free Access

Fig. 1

image

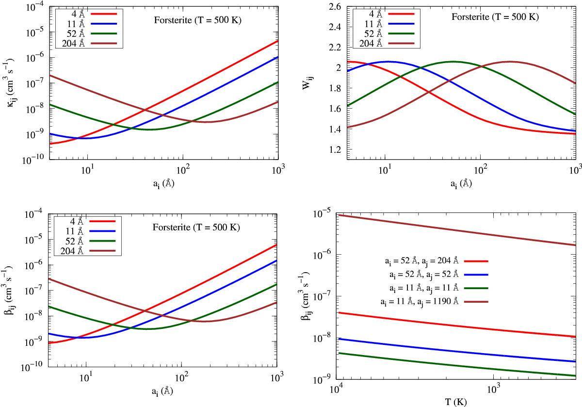
Rate of Brownian diffusion Kij (top-left), coalescence enhancement factor Wij (top-right), Brownian coagulation rate βij (bottom-left) as a function of the collider radius ai, for forsterite grains and four different values of the target size aj. The gas temperature is Tgas = 500 K. The Brownian coagulation rate as a function of gas temperature in the ejecta (bottom-right) is shown from 100 to 1300 days for four sets of collider and target sizes given by the (ai,aj) parameters.

This figure is made of several images, please see below:

Current usage metrics show cumulative count of Article Views (full-text article views including HTML views, PDF and ePub downloads, according to the available data) and Abstracts Views on Vision4Press platform.

Data correspond to usage on the plateform after 2015. The current usage metrics is available 48-96 hours after online publication and is updated daily on week days.

Initial download of the metrics may take a while.