Free Access

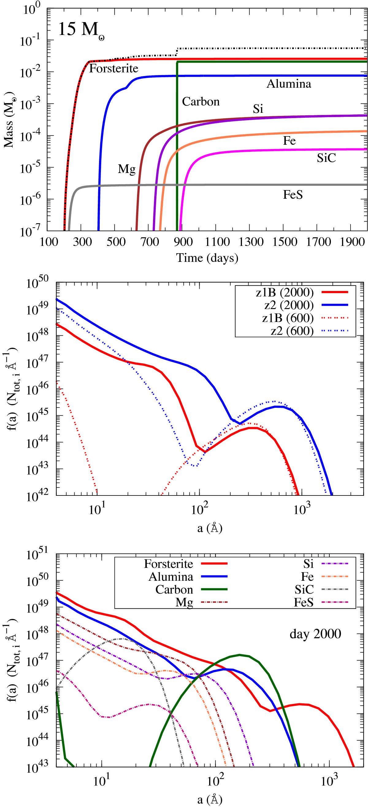
Fig. 5

image

Results for the homogeneous SN ejecta with 15  M progenitor and 56Ni = 0.01 M. Top: total dust mass versus post-explosion time; middle: dust size distributions for forsterite grains in zone 1B and 2 at day 600 and 2000; bottom: dust size distributions at day 2000.

This figure is made of several images, please see below:

Current usage metrics show cumulative count of Article Views (full-text article views including HTML views, PDF and ePub downloads, according to the available data) and Abstracts Views on Vision4Press platform.

Data correspond to usage on the plateform after 2015. The current usage metrics is available 48-96 hours after online publication and is updated daily on week days.

Initial download of the metrics may take a while.