Free Access

Fig. 3

image

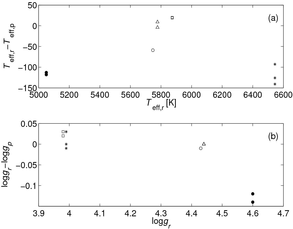
a)Teff,rTeff,p vs. Teff,p, where Teff,r represents the recommended effective temperature. Teff,p is the best-determined effective temperature from our methodology. Five symbols stand for the five benchmark stars, while two (or three) of the same symbol indicates that spectra obtained with different instruments were analysed. It is the same for the log gr and log gp that are shown in panel b).

Current usage metrics show cumulative count of Article Views (full-text article views including HTML views, PDF and ePub downloads, according to the available data) and Abstracts Views on Vision4Press platform.

Data correspond to usage on the plateform after 2015. The current usage metrics is available 48-96 hours after online publication and is updated daily on week days.

Initial download of the metrics may take a while.