Free Access

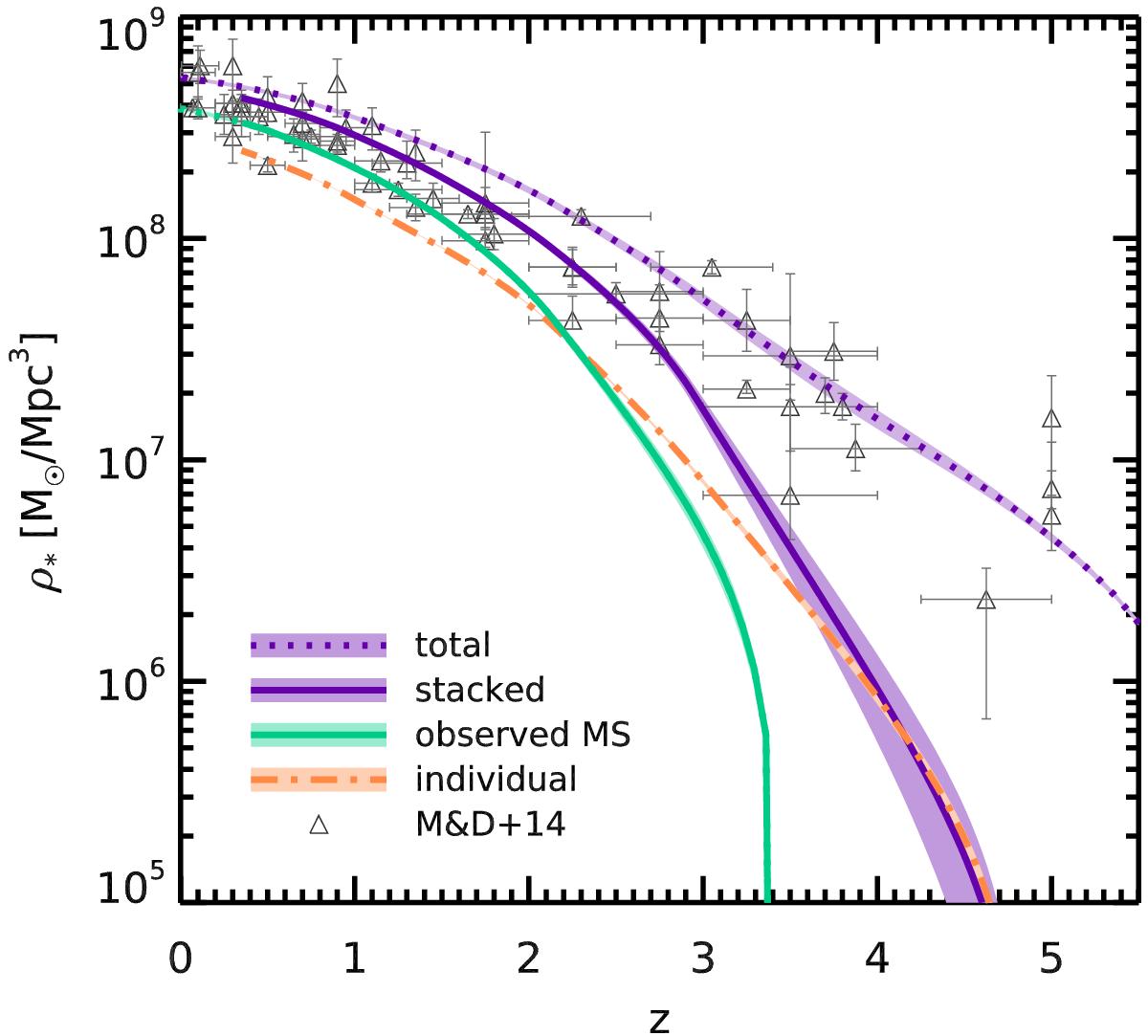
Fig. 15

image

Predicted evolution of the cosmic stellar mass density ρ with redshift. The lines show the inferred mass density by extrapolating our stacked SFRs down to M = 3 × 109 M and out to z = 6 using the trend from Madau & Dickinson (2014) and integrating as a function of time. Stellar lifetimes are accounted for, and the mass of stellar remnants is included in ρ (see text). Colors are the same as in Fig. 13: the solid purple line shows the contribution of stacked sources with significant signal, the green line shows the contribution of galaxies in the regimes where we have probed the existence of the main sequence, and the orange line is the contribution of individually detected FIR sources. Shaded regions in the background show the corresponding 1σ statistical errors. We compare these results to the literature compilation of Madau & Dickinson (2014) shown as open triangles.

Current usage metrics show cumulative count of Article Views (full-text article views including HTML views, PDF and ePub downloads, according to the available data) and Abstracts Views on Vision4Press platform.

Data correspond to usage on the plateform after 2015. The current usage metrics is available 48-96 hours after online publication and is updated daily on week days.

Initial download of the metrics may take a while.