Free Access

Fig. B.3

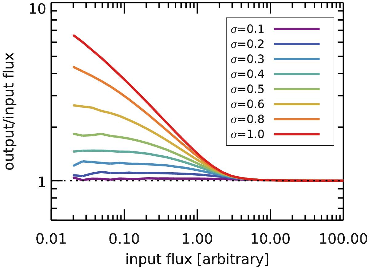
image

Monte Carlo analysis showing evidence for a systematic bias in median stacking. These values have been obtained by computing medians of log-normally distributed values in the presence of Gaussian noise of fixed amplitude (σnoise = 1 in these arbitrary flux units, so that the input flux is also the S/N).

Current usage metrics show cumulative count of Article Views (full-text article views including HTML views, PDF and ePub downloads, according to the available data) and Abstracts Views on Vision4Press platform.

Data correspond to usage on the plateform after 2015. The current usage metrics is available 48-96 hours after online publication and is updated daily on week days.

Initial download of the metrics may take a while.