Free Access

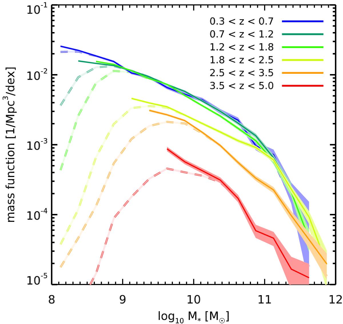
Fig. 3

image

Evolution of the star-forming galaxy stellar mass function with redshift in the three CANDELS fields GOODS–South, UDS, and COSMOS for galaxies brighter than H = 26. Raw, incomplete counts are shown as dashed lines, while solid lines show the corrected counts. The shaded areas correspond to Poissonian errors.

Current usage metrics show cumulative count of Article Views (full-text article views including HTML views, PDF and ePub downloads, according to the available data) and Abstracts Views on Vision4Press platform.

Data correspond to usage on the plateform after 2015. The current usage metrics is available 48-96 hours after online publication and is updated daily on week days.

Initial download of the metrics may take a while.