Free Access

Fig. 13

image

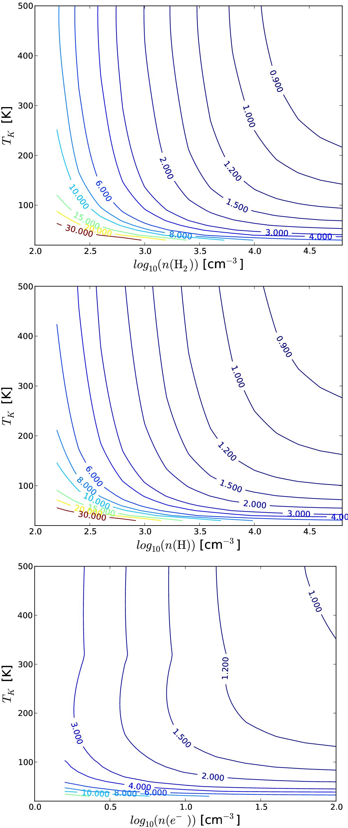
[C II] column density enhancement for three collision partners, H2 (top), H I (middle), and e (bottom), with respect to the column density obtained assuming a temperature of 250 K and a density of 104 cm-3. This column density is depicted by the contour line equal unity.

This figure is made of several images, please see below:

Current usage metrics show cumulative count of Article Views (full-text article views including HTML views, PDF and ePub downloads, according to the available data) and Abstracts Views on Vision4Press platform.

Data correspond to usage on the plateform after 2015. The current usage metrics is available 48-96 hours after online publication and is updated daily on week days.

Initial download of the metrics may take a while.