Free Access

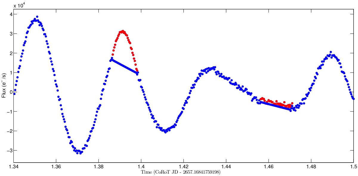
Fig. 2

image

Example of comparison between ARMA gap-filling (red) and the linear interpolation (blue) for two gaps in the light curve of the δ Scuti star HD 174966 observed by CoRoT.

Current usage metrics show cumulative count of Article Views (full-text article views including HTML views, PDF and ePub downloads, according to the available data) and Abstracts Views on Vision4Press platform.

Data correspond to usage on the plateform after 2015. The current usage metrics is available 48-96 hours after online publication and is updated daily on week days.

Initial download of the metrics may take a while.