Free Access

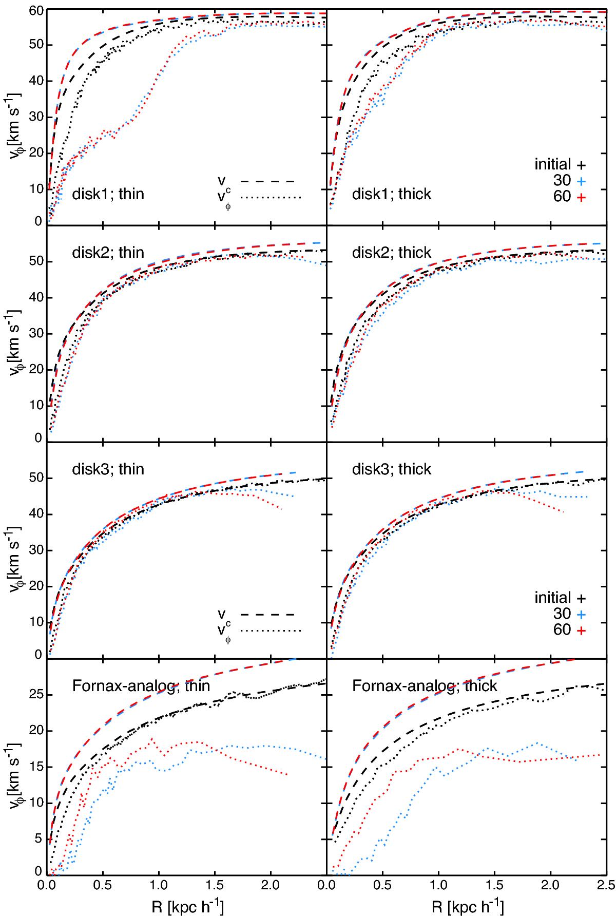
Fig. 12

image

Circular velocity (dashed lines) and average rotation (dotted lines) of all the disks before the merger (black) and 6 Gyr later for both orbits (30-degree inclination in blue, and 60-degree inclination in red). In all cases the disks are first aligned such that the total angular momentum vector of all particles within the half-mass radius of the disk is perpendicular to the plane in which the average rotational velocity is measured. All particles considered have | z | < 0.05 kpc h-1 and the bins have a variable bin size, but a fixed number of 400 particles each.

Current usage metrics show cumulative count of Article Views (full-text article views including HTML views, PDF and ePub downloads, according to the available data) and Abstracts Views on Vision4Press platform.

Data correspond to usage on the plateform after 2015. The current usage metrics is available 48-96 hours after online publication and is updated daily on week days.

Initial download of the metrics may take a while.