Free Access

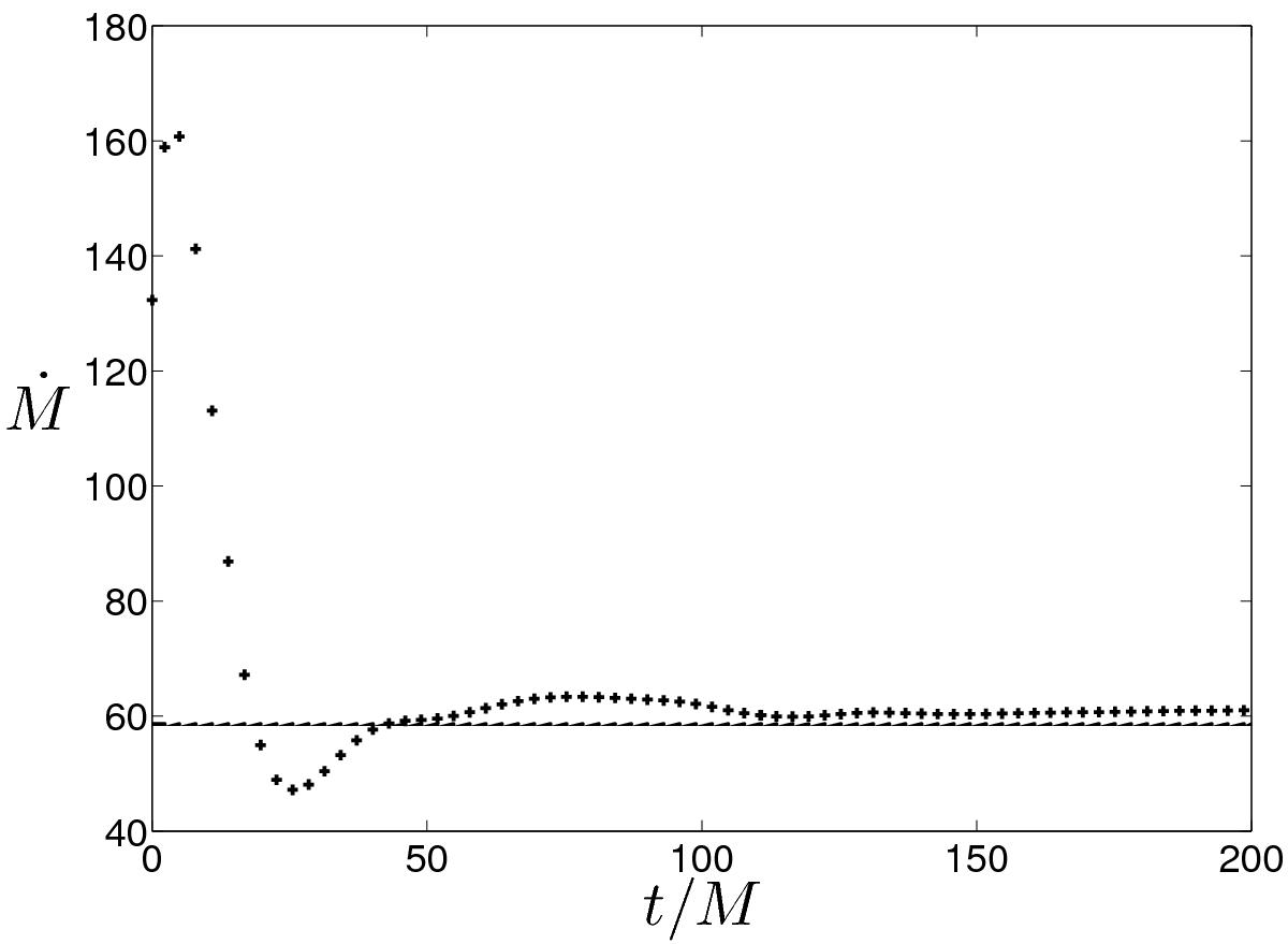
Fig. 5

image

Variation in time of the mass accretion rate of a stiff fluid with velocity v = 0.6 onto a Kerr black hole with spin a = 0.5. The analytic solution as derived by Petrich et al. is shown by the line, and the numerical solution is shown by the +s.

Current usage metrics show cumulative count of Article Views (full-text article views including HTML views, PDF and ePub downloads, according to the available data) and Abstracts Views on Vision4Press platform.

Data correspond to usage on the plateform after 2015. The current usage metrics is available 48-96 hours after online publication and is updated daily on week days.

Initial download of the metrics may take a while.