Free Access

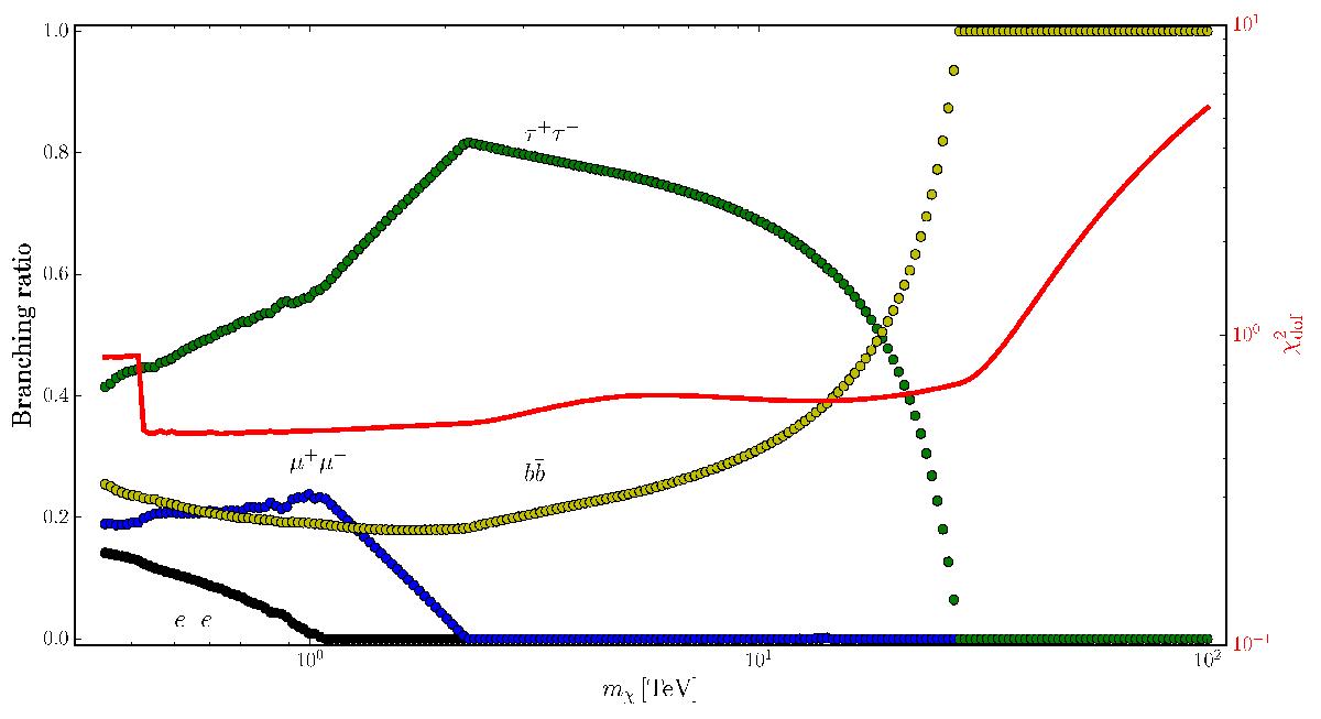
Fig. 4

image

Best fit for the branching fractions for each DM mass mχ assuming only annihilations into lepton and pairs. The red line indicates on the right vertical axis the best value. As the DM mass exceeds the energy of the last data point, the fit improves discontinuously and the drops sharply, hence the kink in the red curve above 400 GeV. Between 20 and 30 TeV, the three lepton channels yield similar spectra in the range of positron energies that come into play in the fit. The branching ratio into τ+τ should be understood as a sum over the three lepton families.

Current usage metrics show cumulative count of Article Views (full-text article views including HTML views, PDF and ePub downloads, according to the available data) and Abstracts Views on Vision4Press platform.

Data correspond to usage on the plateform after 2015. The current usage metrics is available 48-96 hours after online publication and is updated daily on week days.

Initial download of the metrics may take a while.