Free Access

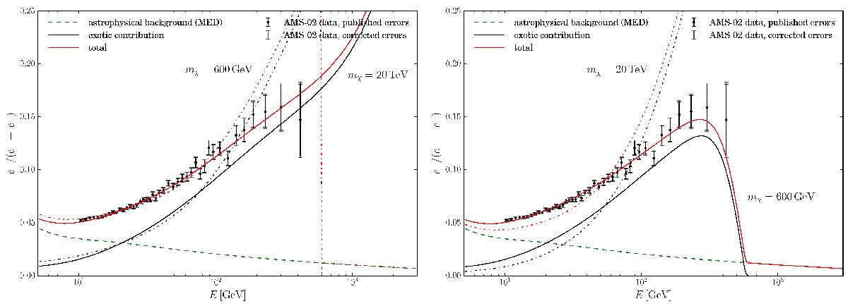
Fig. 9

image

Left panel: leptons and channels with the additional assumption of universal branching fractions into lepton pairs. The positron fraction has been plotted for mχ = 600 GeV (dashed-dotted lines) and 20 TeV (solid lines), corresponding to σv ⟩ = 1.05 × 10-23 cm3 s-1 and 1.12 × 10-21 cm3 s-1, and compared to AMS-02 data (Accardo et al. 2014). The 600 GeV DM species does not provide a good fit. The corresponding reduced χ2 is of the order of 2. On the contrary, the 20 TeV WIMP reproduces the observations with a value of 0.6 but induces a sharp increase of the positron fraction above 1 TeV. Right panel: four-lepton channel. The positron fraction has been plotted for mχ = 600 GeV (solid lines) and 20 TeV (dashed-dotted lines). The 600 GeV case provides a good fit with a value of 0.8 and a cross section of 7.37 × 10-24 cm3 s-1. The 20 TeV WIMP mass scenario, on the contrary, barely fits the data below 50 GeV, with a reduced χ2 larger than 3 and σv ⟩ = 2.72 × 10-21 cm3 s-1.

This figure is made of several images, please see below:

Current usage metrics show cumulative count of Article Views (full-text article views including HTML views, PDF and ePub downloads, according to the available data) and Abstracts Views on Vision4Press platform.

Data correspond to usage on the plateform after 2015. The current usage metrics is available 48-96 hours after online publication and is updated daily on week days.

Initial download of the metrics may take a while.