Free Access

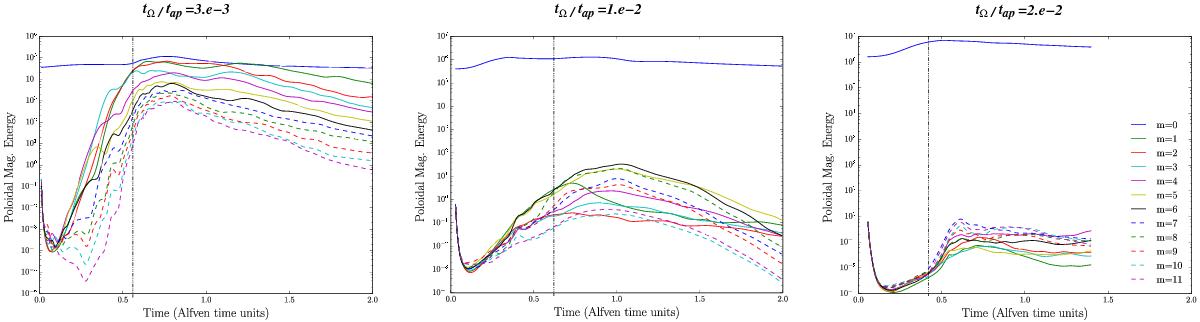
Fig. 11

image

Temporal evolution of the poloidal magnetic energy contained in the first 12 azimuthal modes for Re = 2 × 104 with Lup = 60 (left), Lup = 200 (middle) and Lup = 400 (right), corresponding to Lo = 3 × 10-3,10-2 and 2 × 10-2, respectively. In each panel, the vertical dash-dotted line represents the time at which the maximum value of the toroidal magnetic field is reached in the domain.

Current usage metrics show cumulative count of Article Views (full-text article views including HTML views, PDF and ePub downloads, according to the available data) and Abstracts Views on Vision4Press platform.

Data correspond to usage on the plateform after 2015. The current usage metrics is available 48-96 hours after online publication and is updated daily on week days.

Initial download of the metrics may take a while.