Free Access

Fig. 1

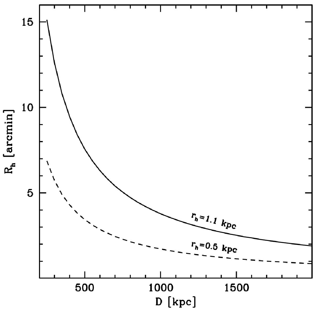
image

Angular half-light radius (Rh) as a function of distance for two assumptions on the physical half-light radius (rh). A value of rh = 1.1 kpc corresponds to the upper limit of the distribution for dwarf galaxies in the Local Volume (McConnachie 2012) in the range of luminosities that is relevant to the present survey (MV ≥ − 12.0; with the only exception of Andromeda XIX, whose structure is likely strongly disturbed by the tidal interaction with M 31, see McConnachie 2008). There are only nine dwarfs with rh ≥ 0.5 kpc amongst the fifty-four having MV> − 12.0; Leo P has rh ~ 0.2 kpc (Martin, priv. comm.).

Current usage metrics show cumulative count of Article Views (full-text article views including HTML views, PDF and ePub downloads, according to the available data) and Abstracts Views on Vision4Press platform.

Data correspond to usage on the plateform after 2015. The current usage metrics is available 48-96 hours after online publication and is updated daily on week days.

Initial download of the metrics may take a while.