Free Access

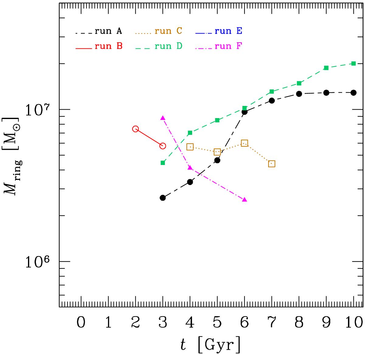
Fig. 3

image

Mass of the gas ring (Mring) for all simulations, as a function of time. Time t = 0 corresponds to the first periapsis passage. Long-short dashed black line and filled black circles: run A; solid red line and open red circles: run B; dotted ochre line and open ochre squares: run C; dashed green line and filled green squares: run D; short-dash-dotted magenta line and filled magenta triangles: run F.

Current usage metrics show cumulative count of Article Views (full-text article views including HTML views, PDF and ePub downloads, according to the available data) and Abstracts Views on Vision4Press platform.

Data correspond to usage on the plateform after 2015. The current usage metrics is available 48-96 hours after online publication and is updated daily on week days.

Initial download of the metrics may take a while.