Highlight
Free Access

Fig. 14

image

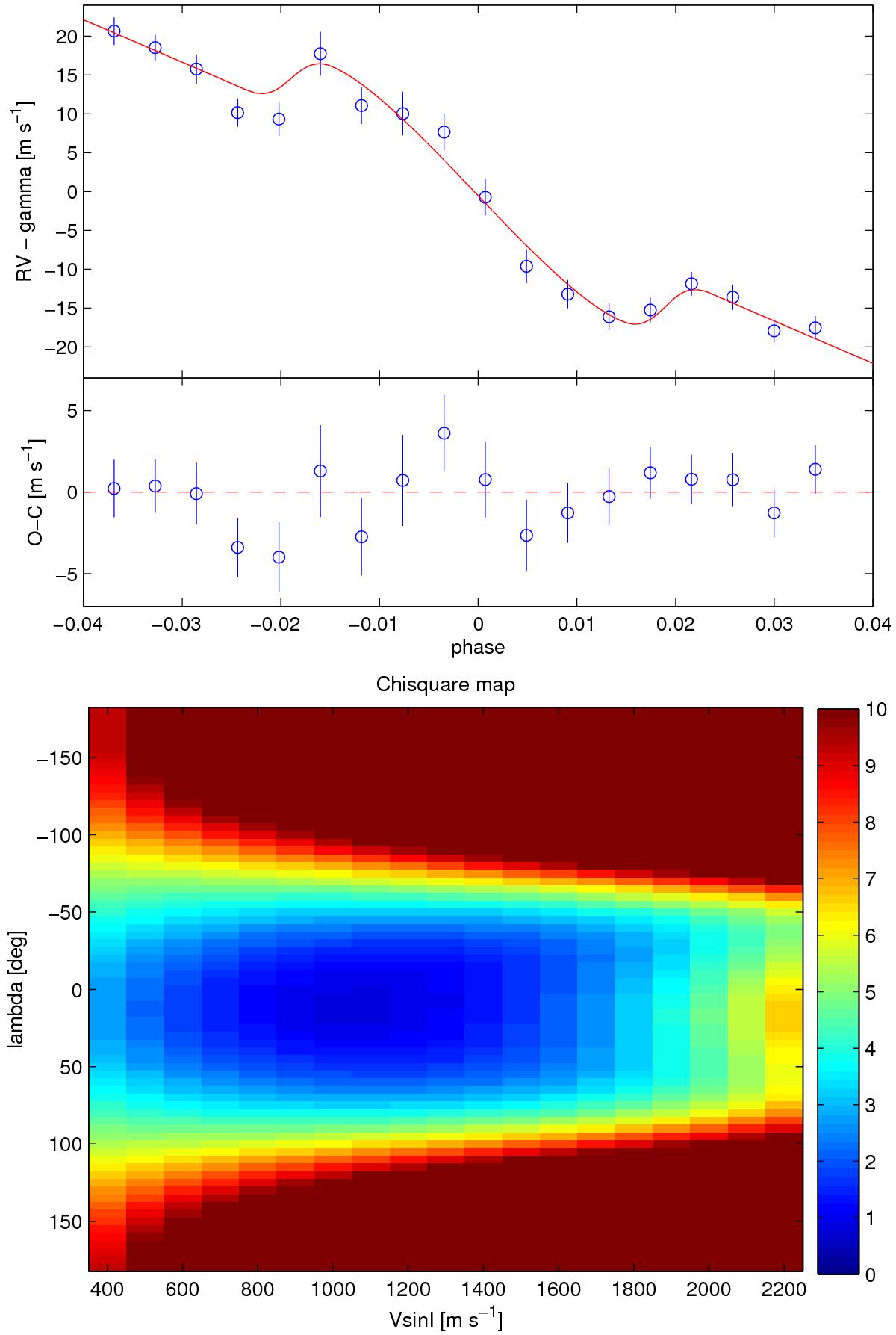
Upper panel: radial velocity variations of the XO-2N star in correspondence to the transit of the exoplanet XO-2Nb occurred on the night between 4 and 5 December, 2012. Data are folded according to the transit ephemeris derived in this study [Tc = 2455, 565.546480 + N*2.6158592 BJD TDB], and superposed is our best-fit RML model (red line). Lower panel: the χ2 map in the λVsinI parameter space.

This figure is made of several images, please see below:

Current usage metrics show cumulative count of Article Views (full-text article views including HTML views, PDF and ePub downloads, according to the available data) and Abstracts Views on Vision4Press platform.

Data correspond to usage on the plateform after 2015. The current usage metrics is available 48-96 hours after online publication and is updated daily on week days.

Initial download of the metrics may take a while.