Free Access

Fig. 3

image

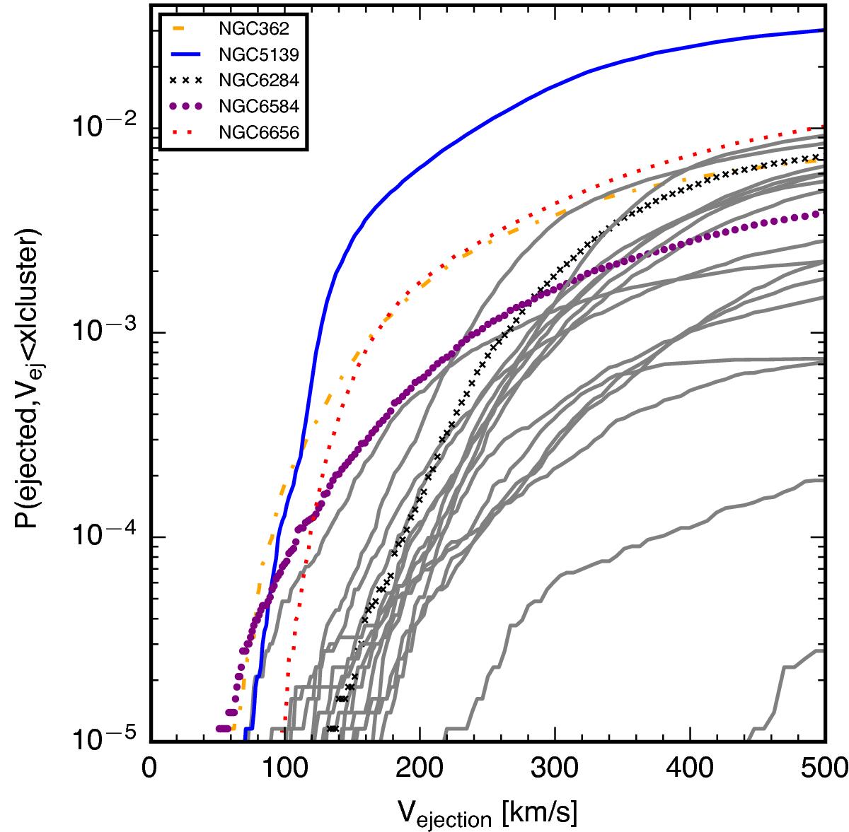
Cumulative probability that 22593757-4648029 was ejected from a given GC with a velocity lower than Vejection within the last five billion years.

Current usage metrics show cumulative count of Article Views (full-text article views including HTML views, PDF and ePub downloads, according to the available data) and Abstracts Views on Vision4Press platform.

Data correspond to usage on the plateform after 2015. The current usage metrics is available 48-96 hours after online publication and is updated daily on week days.

Initial download of the metrics may take a while.