Free Access

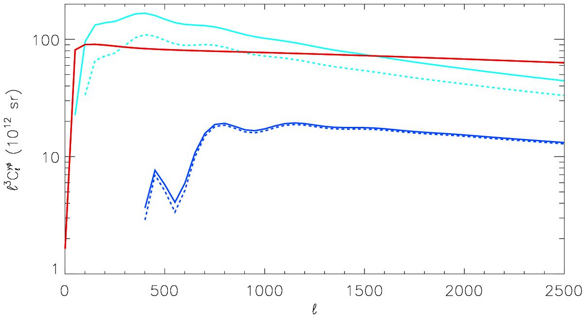
Fig. 2

image

Residual contamination before cleaning in light blue and after cleaning in dark blue. The red solid line presents the tSZ-φ correlation for our fiducial model. The solid blue lines are the contamination considering the set of weights from Hill & Spergel (2014) for fsky = 0.3. The dashed blue lines are the contamination considering the set of weights from Hill & Spergel (2014) for fsky = 0.2.

Current usage metrics show cumulative count of Article Views (full-text article views including HTML views, PDF and ePub downloads, according to the available data) and Abstracts Views on Vision4Press platform.

Data correspond to usage on the plateform after 2015. The current usage metrics is available 48-96 hours after online publication and is updated daily on week days.

Initial download of the metrics may take a while.