Free Access
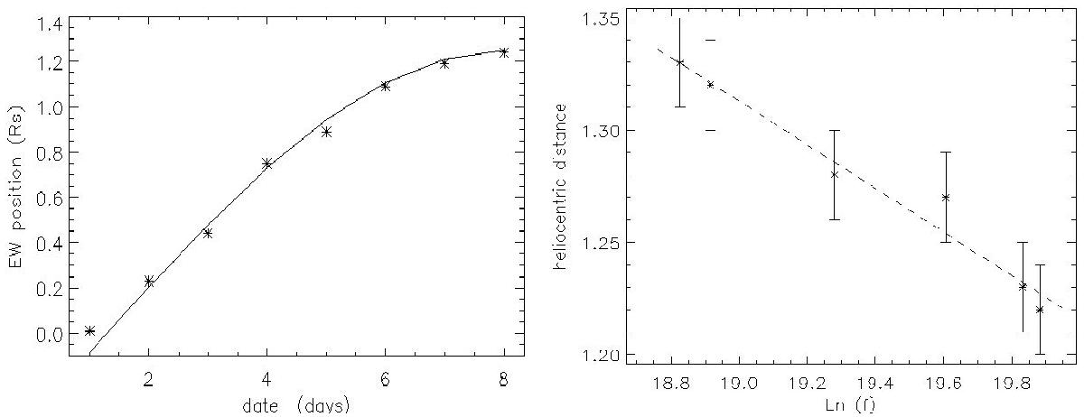
Fig. 9

Left: apparent EW positions (units of R⊙) of the main noise storm at 236 MHz from Apr. 1 to 8, 2006. The solid curve is the fit with rstorm = 1.27 R⊙ and no refraction. Right: heliocentric distances (units of R⊙), versus Ln (frequency) for the same storm and linear fit (dashed line).
This figure is made of several images, please see below:
Current usage metrics show cumulative count of Article Views (full-text article views including HTML views, PDF and ePub downloads, according to the available data) and Abstracts Views on Vision4Press platform.
Data correspond to usage on the plateform after 2015. The current usage metrics is available 48-96 hours after online publication and is updated daily on week days.
Initial download of the metrics may take a while.