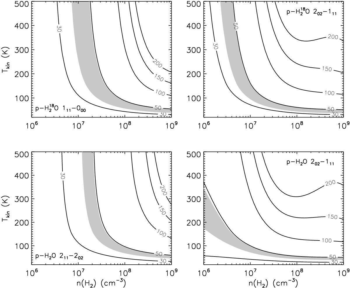
Fig. 5

Excitation temperature of p-HO 111−000, p-H
O 202−111 for the envelope (upper) and the p-H2O 211−202, p-H2O 202−111 for the outflow (lower) assuming H2O column densities of N(H2O) = 1 × 1014 cm-2 and N(H2O) = 5 × 1013 cm-2 and source sizes of 4″ and 30″ for the envelope and the outflow, respectively as a function of kinetic temperature and H2 density calculated with RADEX (Non-LTE, large velocity gradient code). The gray areas indicate the derived Tex of envelope and outflow from the LTE rotation diagram analysis.
Current usage metrics show cumulative count of Article Views (full-text article views including HTML views, PDF and ePub downloads, according to the available data) and Abstracts Views on Vision4Press platform.
Data correspond to usage on the plateform after 2015. The current usage metrics is available 48-96 hours after online publication and is updated daily on week days.
Initial download of the metrics may take a while.