Fig. 8

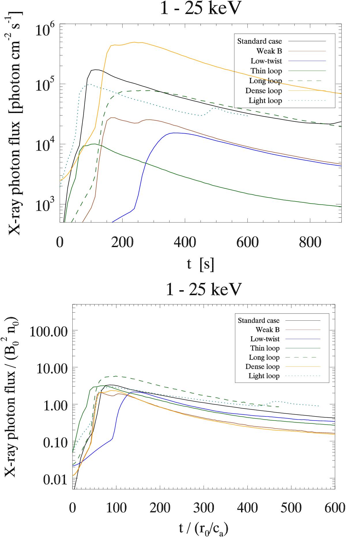
Top panel: light curves for different cases in the 1−25 keV range. The cases represented are the standard case, a non-conductive case, a low-twist case, a case with a flux-rope twice as thin, a case with a flux-rope twice as long, a strong B-field case (twice as strong), and a case with strong B-field and a denser flux-rope such that the plasma beta and characteristic Alfvén speed are maintained (see the inset legend). Bottom panel: the same light-curves but with rescaled time and photon flux. The highest emission is approximately proportional to (product of the initial magnetic energy and the initial density) for each case. The time-scale to attain the emission peak is proportional to r0/v0 (ratio of flux-rope radius to characteristic Alfvén speed).
Current usage metrics show cumulative count of Article Views (full-text article views including HTML views, PDF and ePub downloads, according to the available data) and Abstracts Views on Vision4Press platform.
Data correspond to usage on the plateform after 2015. The current usage metrics is available 48-96 hours after online publication and is updated daily on week days.
Initial download of the metrics may take a while.