Free Access

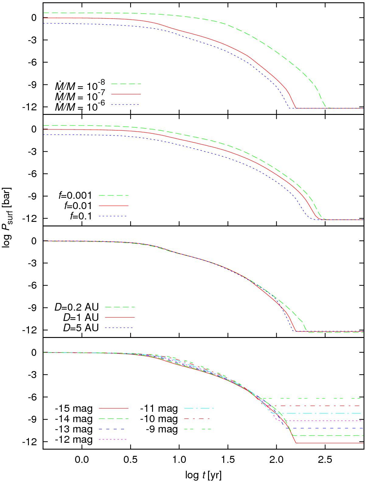
Fig. 11

image

Effect of important physical parameters on the surface gas pressure as a function of time in dynamical simulations of an atmosphere around an 0.1 M core. From top to bottom: accretion rate of planetesimals onto the planetary core (defining the planetary luminosity); dust grain depletion factor f; orbital radius of the planet; magnitude of the drop in nebula gas density, starting in each case from 5 × 10-10 g/cm3.

Current usage metrics show cumulative count of Article Views (full-text article views including HTML views, PDF and ePub downloads, according to the available data) and Abstracts Views on Vision4Press platform.

Data correspond to usage on the plateform after 2015. The current usage metrics is available 48-96 hours after online publication and is updated daily on week days.

Initial download of the metrics may take a while.