Free Access

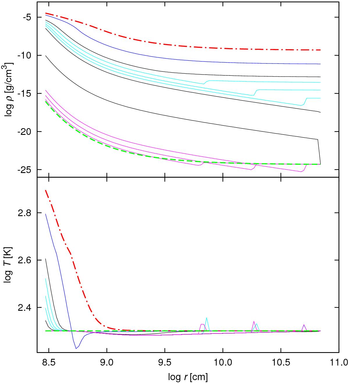
Fig. 5

image

Density and temperature as a function of radius for the atmosphere around an 0.1 M core at several snapshots during the dynamic outflow caused by a drop of the density at the outer boundary from 5 × 10-10 g/cm3 to 5 × 10-25 g/cm3 over 32 yr. The dash-dotted lines are the initial model, and after the dynamic outflow phase the configuration again settles in a hydrostatic configuration indicated by dashed lines. The times of the snapshot are, from top to bottom, in yr: 0 (dash-dotted line), 3.9, 7.5, 9, 11, 13, 17, 64, 141, 148, 154, (dashed line). In the color version of this figure, some lines are highlighted in color to simplify the identification of equivalent snapshots in the two panels.

Current usage metrics show cumulative count of Article Views (full-text article views including HTML views, PDF and ePub downloads, according to the available data) and Abstracts Views on Vision4Press platform.

Data correspond to usage on the plateform after 2015. The current usage metrics is available 48-96 hours after online publication and is updated daily on week days.

Initial download of the metrics may take a while.