Free Access

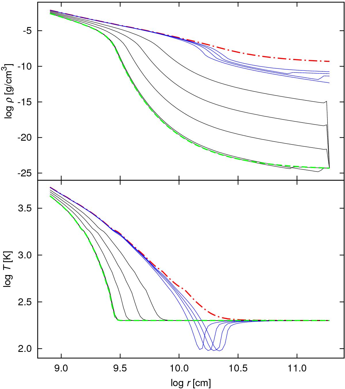
Fig. 6

image

Same as Fig. 5, except for a core with 2 M. The times of the snapshot are, from top to bottom, in yr: 0 (dash-dotted line), 3.1, 3.7, 4.4, 6.4, 2.3 × 103, 1.3 × 106, 1.6 × 109, 1.9 × 1012, 2.9 × 1012, (dashed line). In the color version of this figure, some lines are highlighted in color to simplify the identification of equivalent snapshots in the two panels.

Current usage metrics show cumulative count of Article Views (full-text article views including HTML views, PDF and ePub downloads, according to the available data) and Abstracts Views on Vision4Press platform.

Data correspond to usage on the plateform after 2015. The current usage metrics is available 48-96 hours after online publication and is updated daily on week days.

Initial download of the metrics may take a while.