Free Access

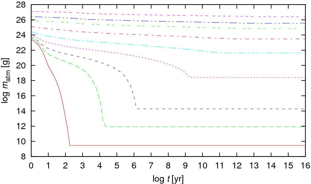
Fig. 9

image

Total mass of the atmosphere in the dynamic outflow calculations as a function of time for planetary cores of various masses. The line-type coding is the same as in Fig. 7. The different initial curvature of the lines, as compared to Fig. 8, is due to the fact that the total mass not only includes gravitationally accumulated gas but also background disk structure within the Hill sphere that can contribute significantly in the case of thin atmospheres.

Current usage metrics show cumulative count of Article Views (full-text article views including HTML views, PDF and ePub downloads, according to the available data) and Abstracts Views on Vision4Press platform.

Data correspond to usage on the plateform after 2015. The current usage metrics is available 48-96 hours after online publication and is updated daily on week days.

Initial download of the metrics may take a while.