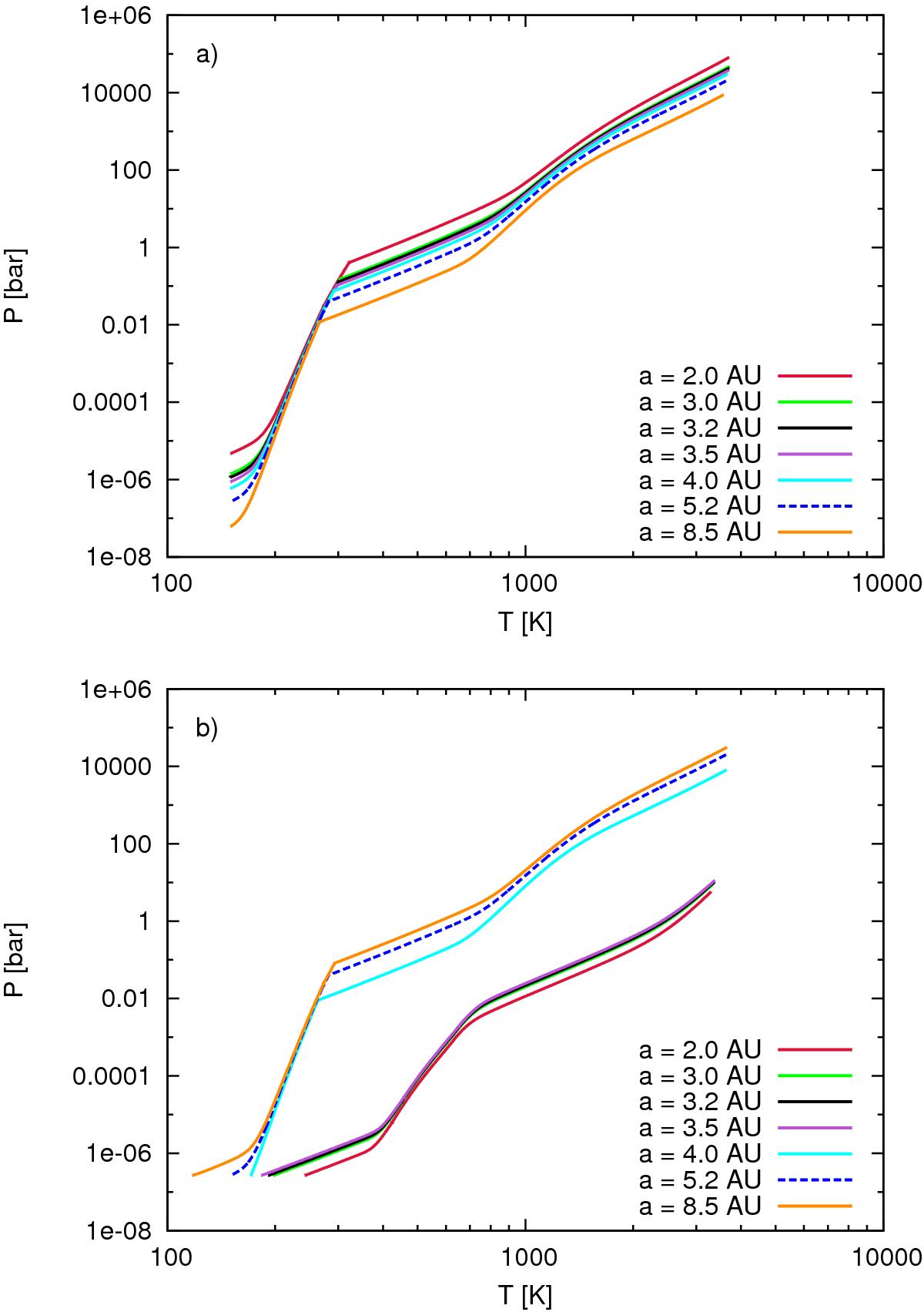
Fig. 11

Pressure-temperature profiles for different positions in the disc for Z = 0.7 and MP = 0.29 M⊕. a) Pout given by Eq. (22) for the labelled semi-major axis, but Tout= 150 K (reference case, see Table 1) for all the profiles; b) Tout given by Eq. (21) for the labelled semi-major axis, but Pout corresponds to the reference case for all the profiles.
Current usage metrics show cumulative count of Article Views (full-text article views including HTML views, PDF and ePub downloads, according to the available data) and Abstracts Views on Vision4Press platform.
Data correspond to usage on the plateform after 2015. The current usage metrics is available 48-96 hours after online publication and is updated daily on week days.
Initial download of the metrics may take a while.