Free Access
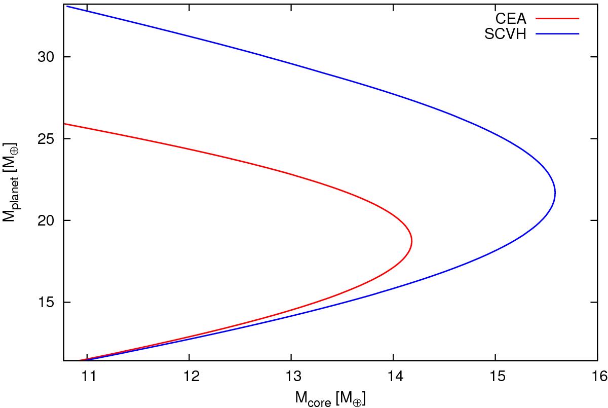
Fig. 12

Planetary mass as a function of the core mass given by solving the internal structure equations for pure H–He envelopes. The red curve uses CEA for the EOS and the blue uses SCVH. Boundary conditions are those from Table 1. ΔMcrit ≈ 1.4 M⊕
Current usage metrics show cumulative count of Article Views (full-text article views including HTML views, PDF and ePub downloads, according to the available data) and Abstracts Views on Vision4Press platform.
Data correspond to usage on the plateform after 2015. The current usage metrics is available 48-96 hours after online publication and is updated daily on week days.
Initial download of the metrics may take a while.