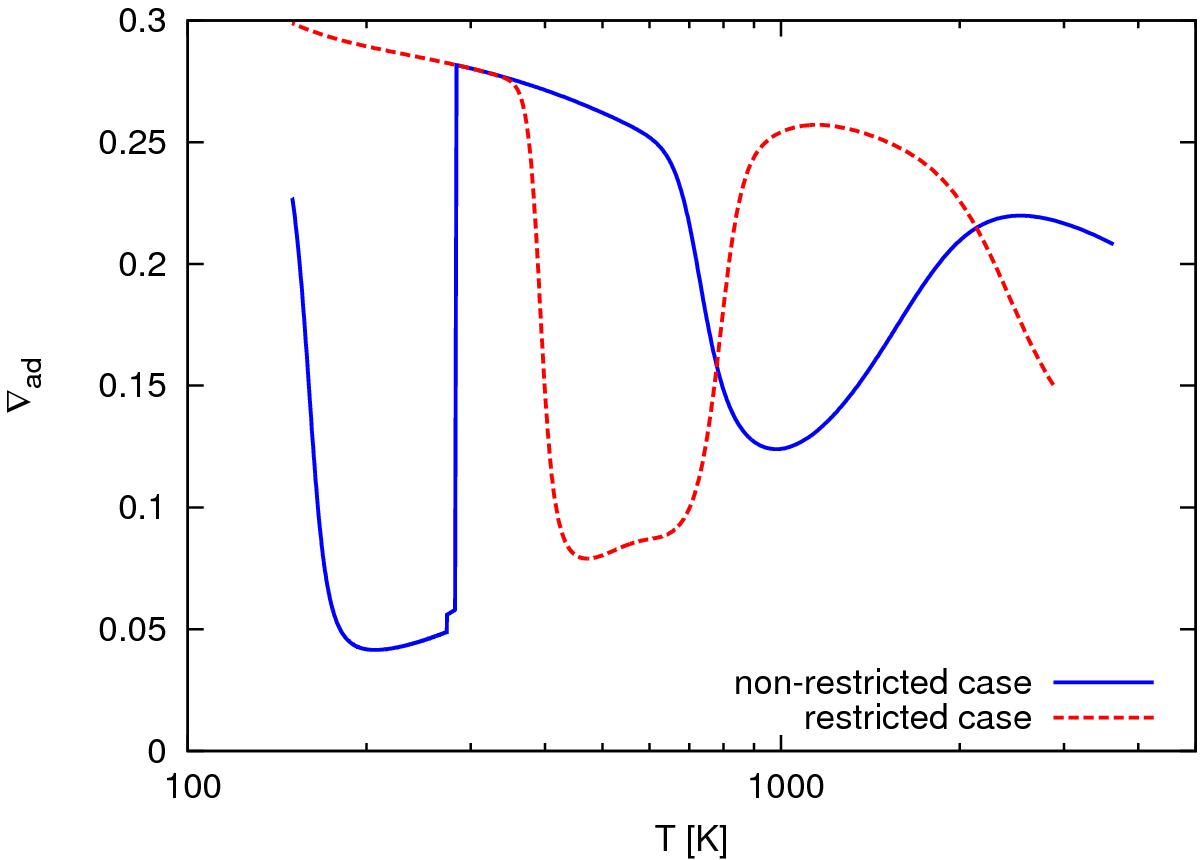
Fig. 3

Profile of the adiabatic gradient of the envelope as a function of its temperature for Z = 0.7. The core mass and labels are set just as in Fig. 2. We note that there is a strong reduction of the adiabatic gradient in the outer layers of the envelope (i.e. low temperature values) in the non-restricted case (see main text). The difference between both profiles at high temperatures has the same explanation as in the previous figure.
Current usage metrics show cumulative count of Article Views (full-text article views including HTML views, PDF and ePub downloads, according to the available data) and Abstracts Views on Vision4Press platform.
Data correspond to usage on the plateform after 2015. The current usage metrics is available 48-96 hours after online publication and is updated daily on week days.
Initial download of the metrics may take a while.