Free Access
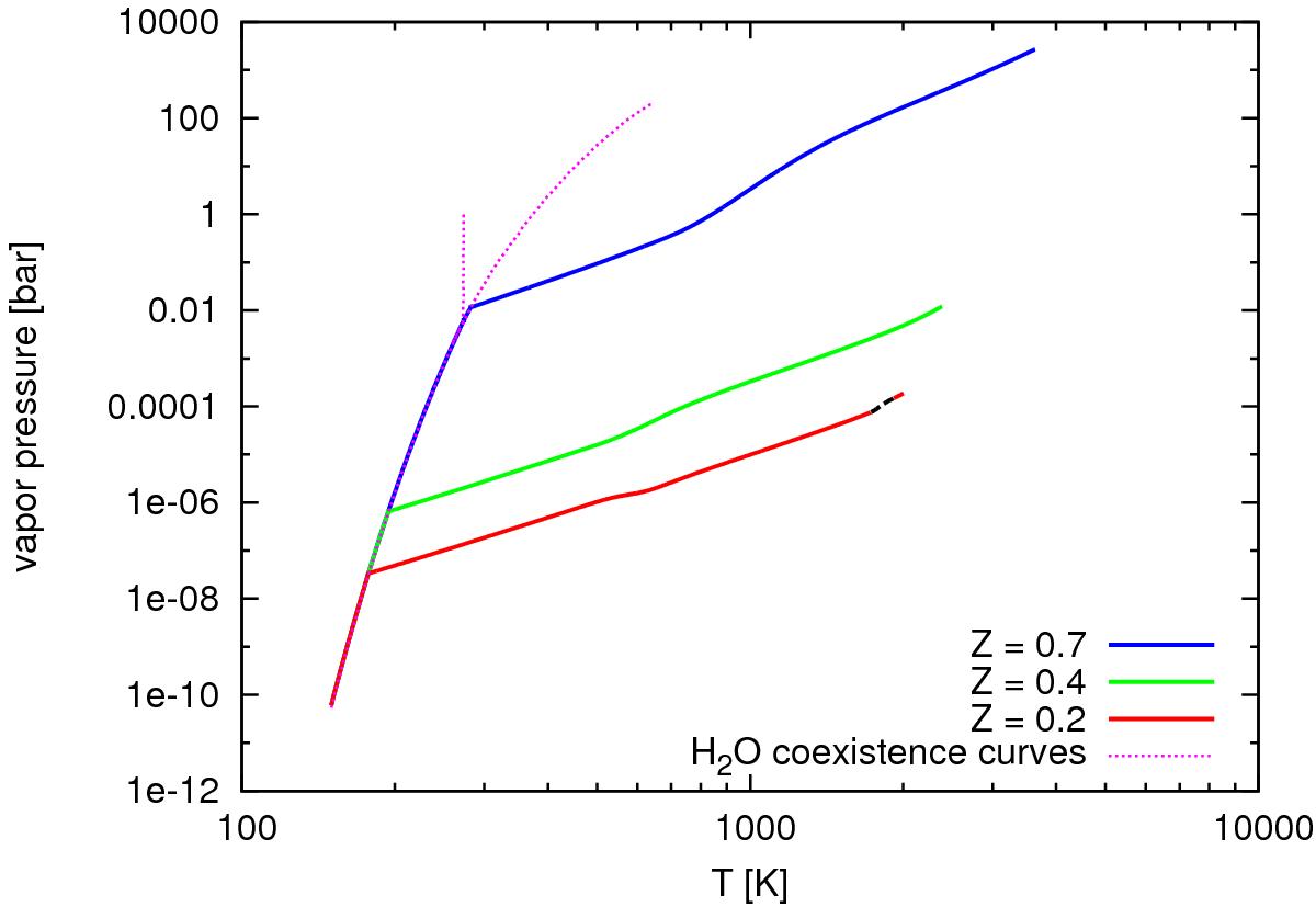
Fig. 6

Pressure as a function of temperature for Z = 0.2, 0.4, and 0.7. MP = 0.29 M⊕ for all cases. The dotted-black lines correspond to regions where the envelope is radiative. This region is extremely small in the case of Z = 0.2 profile.
Current usage metrics show cumulative count of Article Views (full-text article views including HTML views, PDF and ePub downloads, according to the available data) and Abstracts Views on Vision4Press platform.
Data correspond to usage on the plateform after 2015. The current usage metrics is available 48-96 hours after online publication and is updated daily on week days.
Initial download of the metrics may take a while.