Free Access
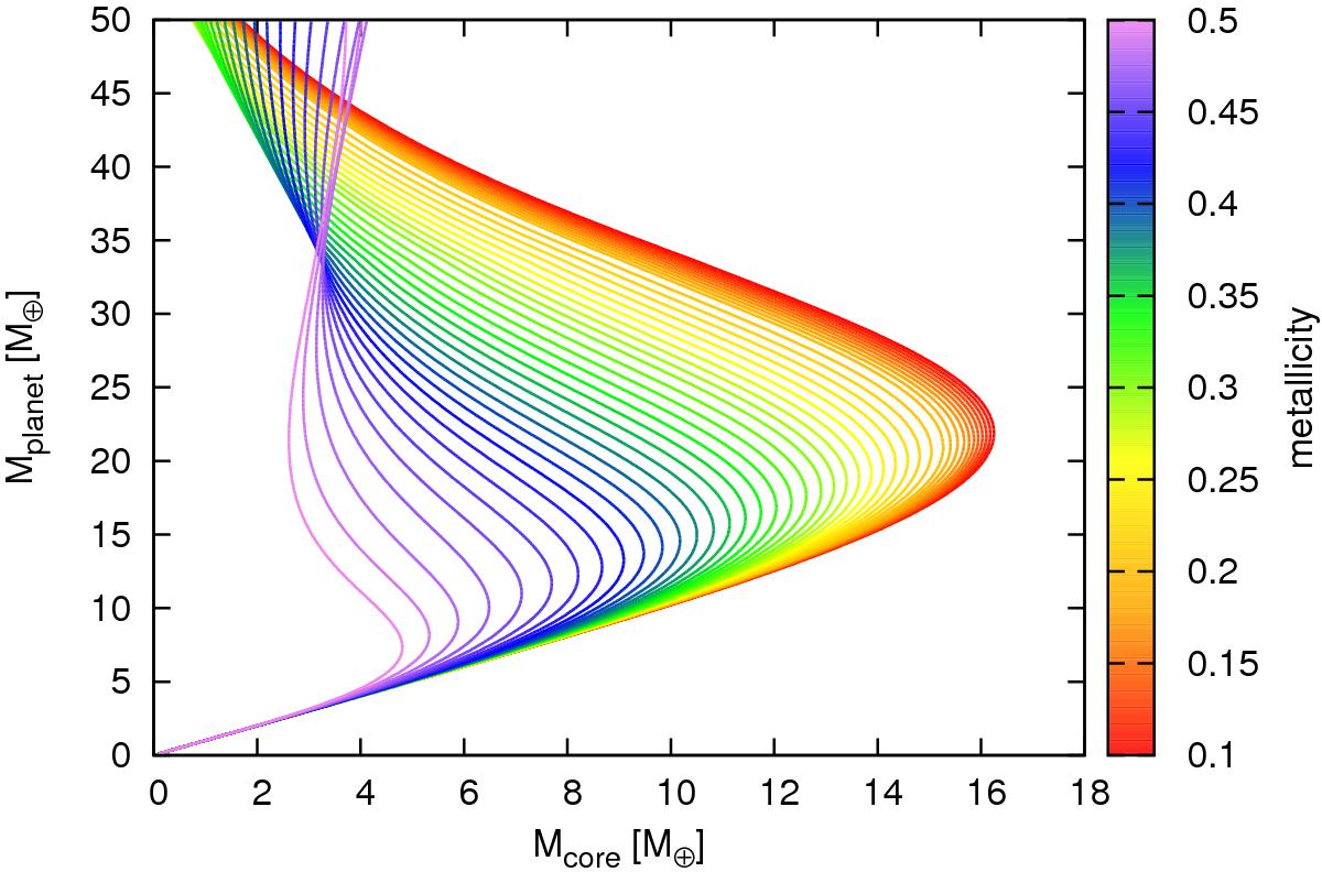
Fig. 7

Total mass of the planet as a function of the mass of the core for different uniform metallicities and L = 1027 erg/s. Here the composition of the envelope corresponds to the non-restricted case (see main text). The highest Z shown is 0.5 for aesthetic reasons.
Current usage metrics show cumulative count of Article Views (full-text article views including HTML views, PDF and ePub downloads, according to the available data) and Abstracts Views on Vision4Press platform.
Data correspond to usage on the plateform after 2015. The current usage metrics is available 48-96 hours after online publication and is updated daily on week days.
Initial download of the metrics may take a while.