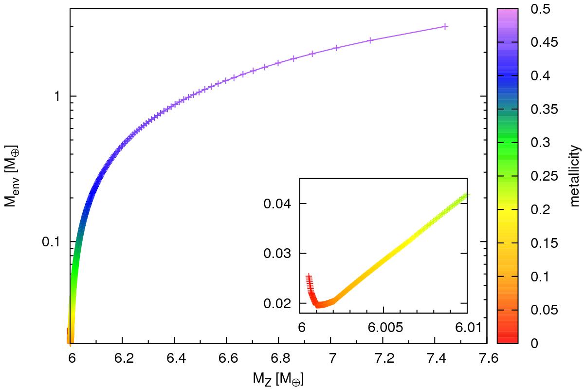
Fig. 8

Envelope mass as a function of the mass of solids contained in the planet (MZ). The mass of the core is fixed at 6 M⊕. An accretion rate of solids of 3 × 10-6M⊕/yr was assumed, which corresponds to a luminosity of 1027 erg/s (the same used in all the other results). The decrease of Menv for low metallicities (shown in the inset) is due to the increase in the gas opacity and to the fact that for these cases of low Z, a radiative zone develops in the outer layers. For Z> 0.1, the structures are almost fully convective. Therefore, the increase in κgas does not play a role, the dominant effect is the increase in Menv due to the inclusion of Z in the EOS.
Current usage metrics show cumulative count of Article Views (full-text article views including HTML views, PDF and ePub downloads, according to the available data) and Abstracts Views on Vision4Press platform.
Data correspond to usage on the plateform after 2015. The current usage metrics is available 48-96 hours after online publication and is updated daily on week days.
Initial download of the metrics may take a while.