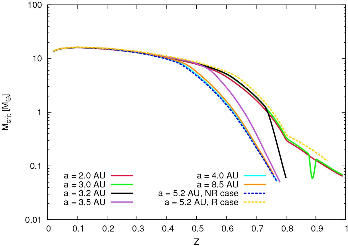
Fig. 9

Critical core mass as a function of metallicity for the specified semi-major axis and corresponding boundary conditions given by Eqs. (21) and (22). Dashed lines correspond to the reference cases (boundary conditions at a = 5.2 AU) plotted in Fig. 1: the yellow curve is the restricted case (i.e. without condensation of water), and the blue curve the non-restricted case (where water condenses). For all the new cases (solid lines) water is allowed to condense. The only case where water does not condense for any value of Z is for a = 2 AU.
Current usage metrics show cumulative count of Article Views (full-text article views including HTML views, PDF and ePub downloads, according to the available data) and Abstracts Views on Vision4Press platform.
Data correspond to usage on the plateform after 2015. The current usage metrics is available 48-96 hours after online publication and is updated daily on week days.
Initial download of the metrics may take a while.