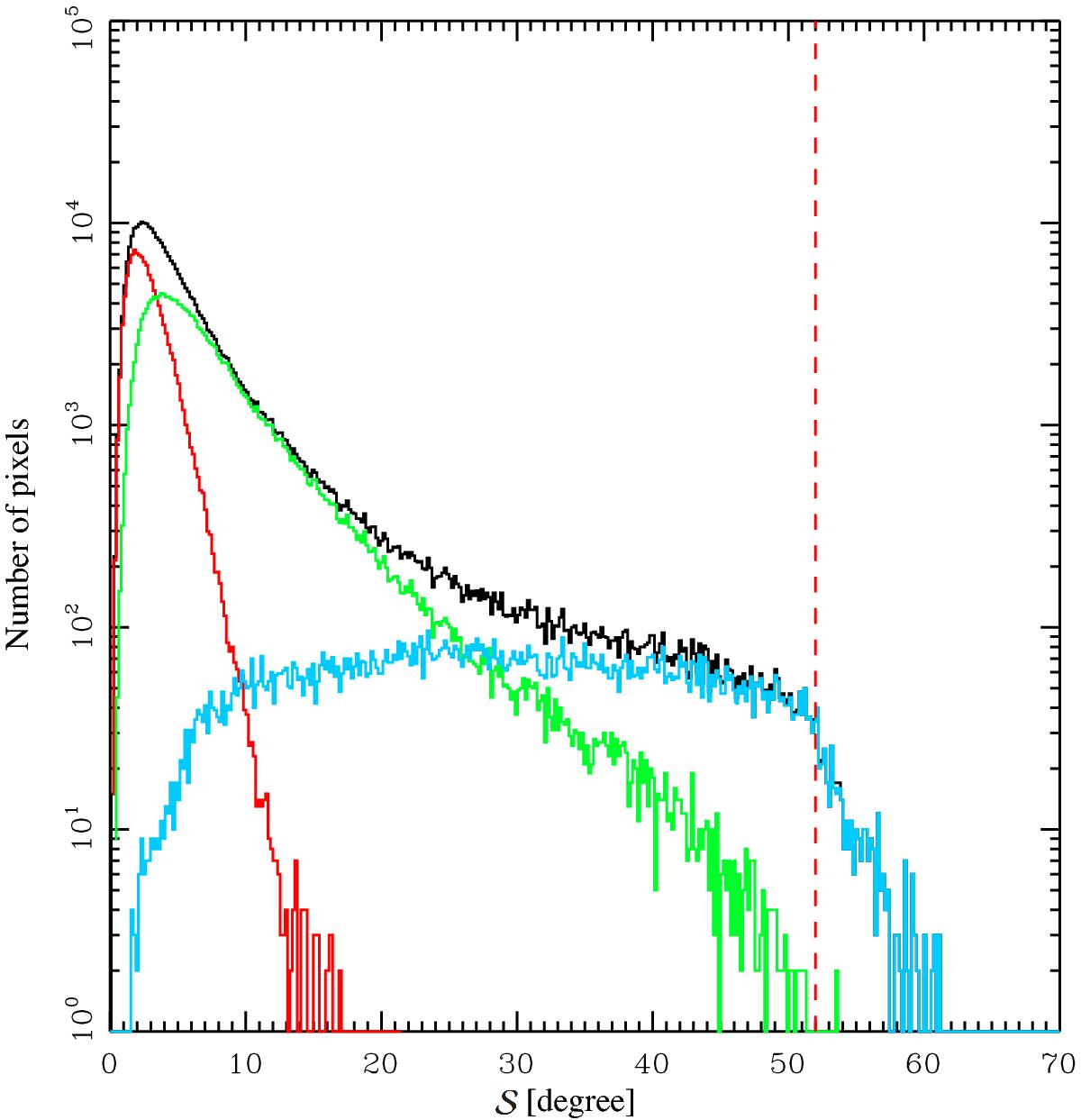
Fig. 14

Histogram of
at 353 GHz at
1° resolution and a
lag δ =
30′. The black curve shows the full distribution over the sky
area covered in Fig. 12. The red, green, and
blue curves show the histograms for regions covered in Fig. 12 with p> 5%, 1% <p < 5%, and
p <
1%, respectively. The vertical dashed line shows
, which is the limit for
pure random noise on
.
Current usage metrics show cumulative count of Article Views (full-text article views including HTML views, PDF and ePub downloads, according to the available data) and Abstracts Views on Vision4Press platform.
Data correspond to usage on the plateform after 2015. The current usage metrics is available 48-96 hours after online publication and is updated daily on week days.
Initial download of the metrics may take a while.