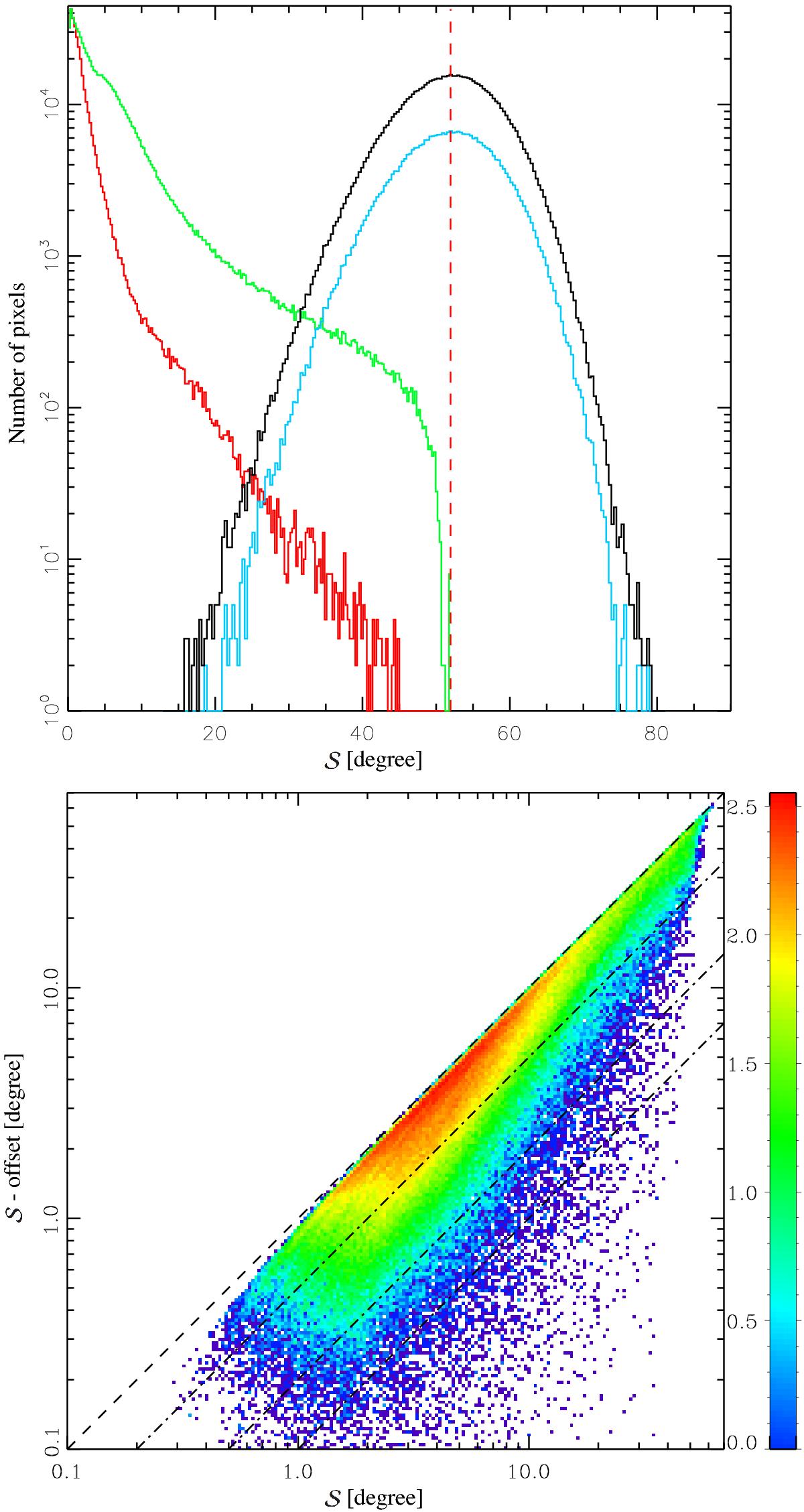
Fig. C.1

Upper: histogram of
obtained on simulated data assuming either
(curves peaking at
) or a random value for
(curves peaking at
) and noise simulated
using the actual Planck noise covariance matrices. The green and
black curves show the histograms over the sky fraction shown in Fig. 4 and the blue and red curves show histograms
where the S/N on
is larger than 3. The vertical dashed line shows
, which is the value for
pure random noise on Q
and U.
Lower: distribution of the bias-corrected
(
minus the offset derived from a simulation with
), with respect to
,
in the region where the S/N on
is larger than 3. Dashed lines show
=
-offset),
with n =
1,2, 5, and 10. The colour scale shows the pixel density on a
log10
scale.
Current usage metrics show cumulative count of Article Views (full-text article views including HTML views, PDF and ePub downloads, according to the available data) and Abstracts Views on Vision4Press platform.
Data correspond to usage on the plateform after 2015. The current usage metrics is available 48-96 hours after online publication and is updated daily on week days.
Initial download of the metrics may take a while.