Free Access
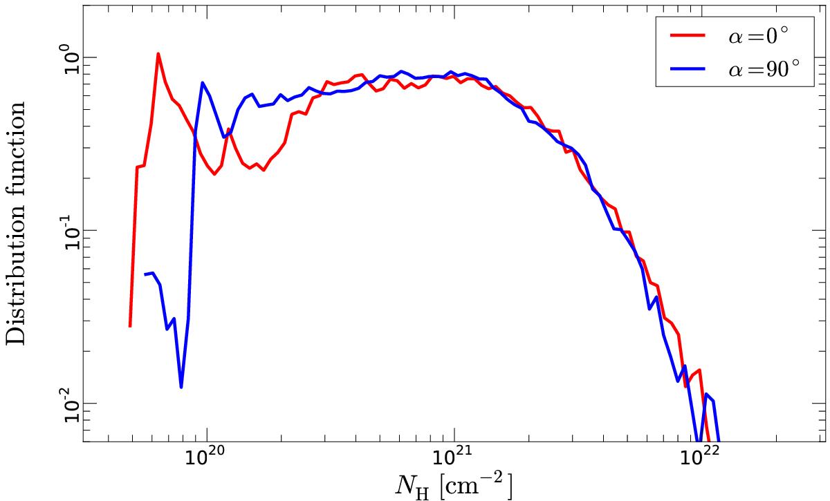
Fig. 12

Distribution functions of the total gas column density NH in the selected subset of the simulation, using viewing angles α = 0° (red) and α = 90° (blue). These distribution functions are computed after convolution with the 15′ beam.
Current usage metrics show cumulative count of Article Views (full-text article views including HTML views, PDF and ePub downloads, according to the available data) and Abstracts Views on Vision4Press platform.
Data correspond to usage on the plateform after 2015. The current usage metrics is available 48-96 hours after online publication and is updated daily on week days.
Initial download of the metrics may take a while.