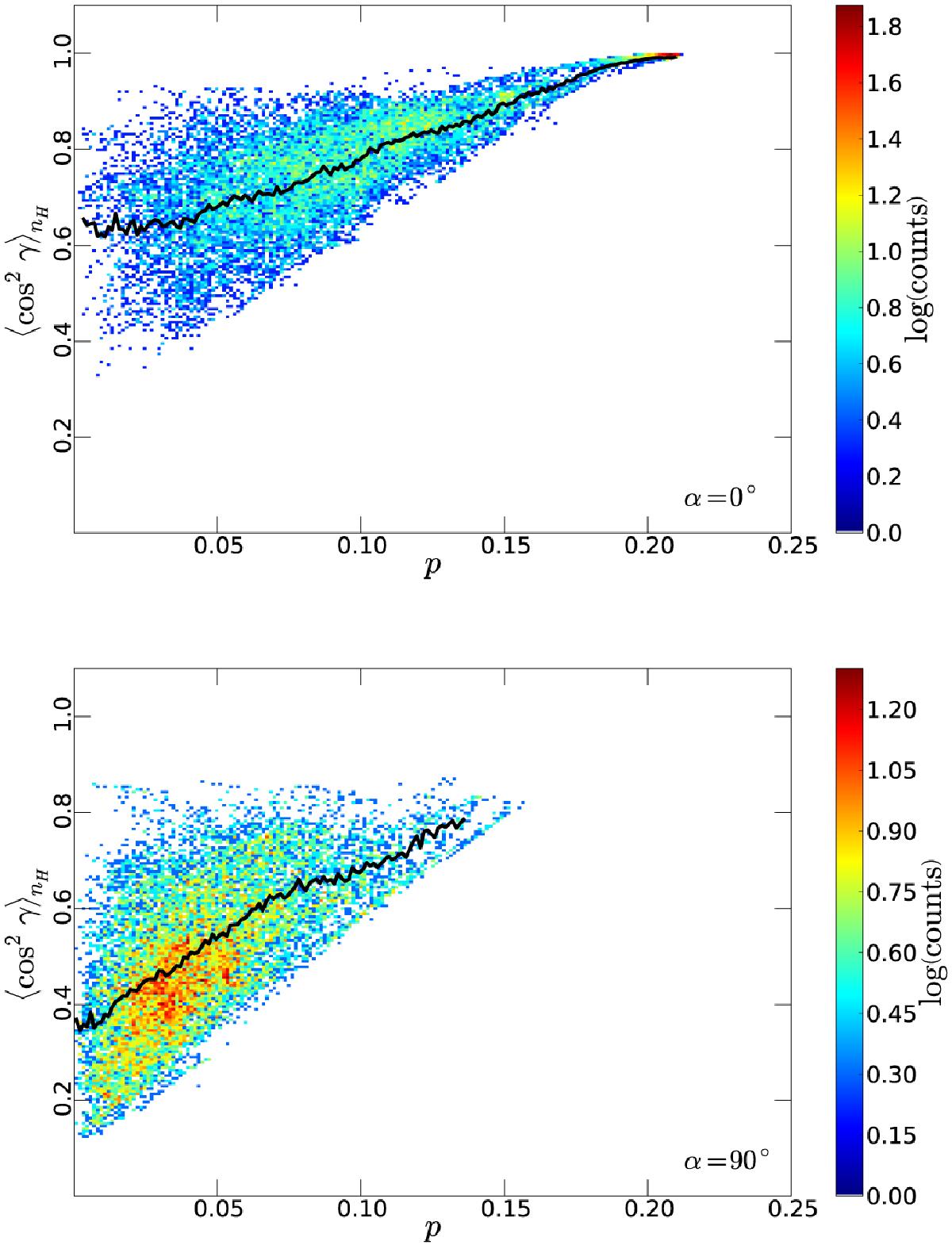
Fig. 21

Distribution functions of polarization fraction p and density-weighted mean of cos2γ (γ is the angle of the magnetic field with respect to the plane of the sky, see Fig. 14) along the line of sight z′ in the simulation cube. Top: viewing angle α = 0°. Bottom: viewing angle α = 90°. The solid black lines show the mean values per bin of p.
Current usage metrics show cumulative count of Article Views (full-text article views including HTML views, PDF and ePub downloads, according to the available data) and Abstracts Views on Vision4Press platform.
Data correspond to usage on the plateform after 2015. The current usage metrics is available 48-96 hours after online publication and is updated daily on week days.
Initial download of the metrics may take a while.