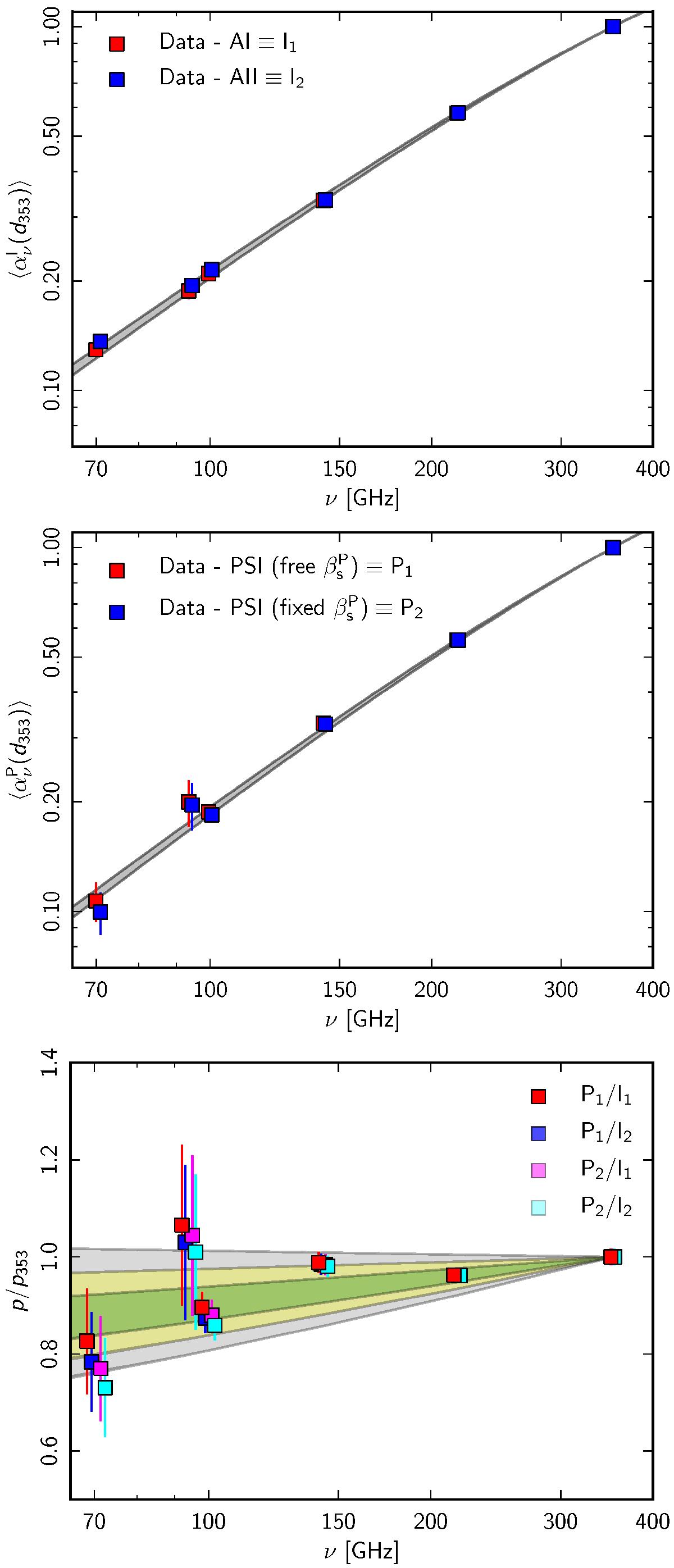
Fig. 12

Frequency dependence of the dust SED in intensity without AME (top), in polarization without synchrotron (middle), and the polarization fraction (bottom) for the four different combinations of dust models. The SEDs are plotted in units of KRJ and normalized to 1 at 353 GHz. The shaded areas represent 1σ (green), 2σ (yellow), and 3σ (grey) statistical uncertainty on the mean normalized polarization fraction. We used the mean spectra from the same 400 sky patches for both the intensity and polarization analysis.
Current usage metrics show cumulative count of Article Views (full-text article views including HTML views, PDF and ePub downloads, according to the available data) and Abstracts Views on Vision4Press platform.
Data correspond to usage on the plateform after 2015. The current usage metrics is available 48-96 hours after online publication and is updated daily on week days.
Initial download of the metrics may take a while.