Free Access
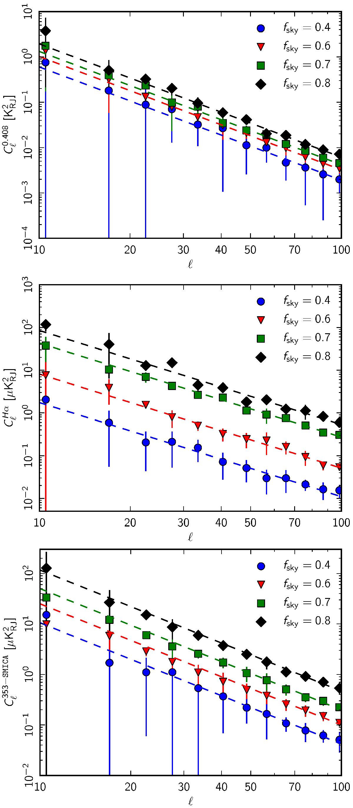
Fig. D.1

Power spectra of the 408 MHz, DDD Hα, and SMICAsubtracted 353 GHz templates, smoothed to 1° resolution for different Galactic masks (or fsky).
Current usage metrics show cumulative count of Article Views (full-text article views including HTML views, PDF and ePub downloads, according to the available data) and Abstracts Views on Vision4Press platform.
Data correspond to usage on the plateform after 2015. The current usage metrics is available 48-96 hours after online publication and is updated daily on week days.
Initial download of the metrics may take a while.